Spinal anesthesia during caesarean section in parturients with gestational diabetes: prospective controlled non-randomized study
- Authors: Degtyaryov E.N.1, Shifman E.M.2, Snezhko V.D.3, Zhukоvets I.V.4, Khodus S.V.4
-
Affiliations:
- Mukhin City Clinical Hospital
- Vladimirsky Moscow Regional Research Clinical Institute
- Vishnevsky National Medical Research Center of Surgery
- Amur State Medical Academy
- Issue: Vol 16, No 4 (2022)
- Pages: 303-312
- Section: Original study articles
- Submitted: 06.09.2022
- Accepted: 30.01.2023
- Published: 19.12.2022
- URL: https://rjraap.com/1993-6508/article/view/110790
- DOI: https://doi.org/10.17816/RA110790
- ID: 110790
Cite item
Abstract
BACKGROUND: Gestational diabetes mellitus (GDM) increases the incidence of cesarean section (CS) to 57.4%. Chronic high blood glucose levels can affect opioid receptors and neurotransmitter metabolism. Pregnant women with GDM require more analgesics and consumed more opioids in the immediate postoperative period after CS than patients without GDM. Thus, in parturients with GDM, the features of the spinal anesthesia (SA) course during CD surgery and the postoperative course remain not fully understood.
OBJECTIVE: To assess SA during CS in parturients with GDM.
METHODS AND METHODS: A prospective controlled study was conducted. The study group included patients with compensated GDM, excluding the criteria for “manifest” diabetes. The control group included patients without carbohydrate metabolism impairment. The inclusion criteria were as follows: SA, full-term and singleton pregnancy, elective CS, age 15–25 years, normal venous blood glucose levels in the morning before surgery, parity of pregnancy, and childbirth. The exclusion criteria were as follows: patients with American Society of Anesthesiologists class ≥IV, inadequate SA requiring the administration of drugs for general anesthesia, severe extragenital pathology, preeclampsia and eclampsia, insulin therapy, and use of oral hypoglycemic agents. After SA induction, Bromage motor block and sensory block were assessed.
RESULTS: Sensory block was achieved in 53% after 3 min, 84% after 4 min, and 100% of the patients in the control group after 5 min. In the GDM group, the threshold of 50% was reached after 7 min, and in all patients, sensory block was noted after 10 min. In the assessment of motor block by Bromage, all patients in the control group achieved motor block after 5 min, whereas in the GDM group, only 77.5% achieved motor block.
CONCLUSION: Our results suggest that with SA during CS in patients with GDM, compared with parturients without carbohydrate metabolism alteration, the rates of sensory and motor block development decreased. Differences in pain intensity were noted after the early postoperative period, and significant pain sensations in the GDM group are manifested on average 60 min earlier than that in the non-GDM group.
Full Text
ВВЕДЕНИЕ
Распространённость гипергликемии у беременных в 2019 году во всём мире составила около 15,8%, из них 83,6% случаев были связаны с гестационным сахарным диабетом (ГСД) [1, 2]. Частота ГСД с каждым годом увеличивается и отражает фоновую распространённость ожирения и сахарного диабета (СД) 2-го типа у населения в целом [3–6]. Результаты многоцентрового исследования НАРО (Hyperglycemia and Adverse Pregnancy Outcomes) продемонстрировали взаимосвязь между уровнем гликемии у матери и неблагоприятными исходами беременности как для матери, так и для плода [7]. У беременной с ГСД чаще, чем у женщин без нарушений углеводного обмена, развиваются преэклампсия и эклампсия, что нередко требует экстренного родоразрешения путём операции кесарева сечения (КС) [8, 9].
ГСД увеличивает частоту кесарева сечения до 57,4% и оказывает негативное влияние в случаях ожирения и/или КС в анамнезе [10–16]. В то же время хронический высокий уровень глюкозы в плазме крови может влиять на опиоидные рецепторы, тем самым изменяя фармакокинетику и фармакодинамику опиоидов [17]. Кроме того, хронический высокий уровень глюкозы может воздействовать на метаболизм нейромедиаторов [18–21]. Исследования C. Yang и соавт. показали, что беременные с ГСД нуждаются в большем количестве анальгетиков и демонстрируют более высокое потребление опиоидов в ближайшем послеоперационном периоде после КС, чем пациентки без ГСД [22]. При родоразрешении путём КС рекомендованы как методы нейроаксиальной, так и общей анестезии, однако преобладание спинальной анестезии (СА) во время операции КС неоспоримо [23–26]. Таким образом, у рожениц с ГСД остаются не до конца изученными особенности течения СА во время операции КС, а также течение послеоперационного периода.
Цель исследования — изучить особенности проведения СА во время операции КС у рожениц с ГСД.
МАТЕРИАЛЫ И МЕТОДЫ
Дизайн исследования
Проведено проспективное контролируемое нерандомизированное исследование. Схема исследования представлена на рис. 1.
Рис. 1. Схема исследования.
Примечание. ГСД — гестационный сахарный диабет.
Критерии соответствия
Критерии включения:
- СА;
- доношенная и одноплодная беременность;
- плановые операции КС;
- возраст от 15 до 25 лет включительно;
- нормальный уровень глюкозы в плазме венозной крови утром перед операцией;
- паритет беременности и родов первый.
Критерии исключения:
- физический статус пациенток по классификации Американского общества анестезиологов (ASA) ≥IV;
- неадекватная СА, требующая введения препаратов для общей анестезии;
- тяжёлая экстрагенитальная патология;
- преэклампсия и эклампсия;
- инсулинотерапия и применение пероральных гипогликемических средств.
Условия проведения и продолжительность исследования
Исследование проведено на базе областного перинатального центра ГАУЗ АО «Амурская областная клиническая больница» (Благовещенск) в период с февраля 2019 по ноябрь 2020 гг.
Описание медицинского вмешательства
Оперативное родоразрешение проводили в плановом порядке под СА по стандартной методике [23]. Доза изобарического бупивакаина была выбрана согласно инструкции по применению препарата (регистрационный № ЛП-002462 от 13.05.2014).
Анализ в подгруппах
Исследуемая группа (группа ГСД) включала 41 пациентку с компенсированным ГСД, не соответствующим критериям «манифестного» СД. В контрольную группу (группа К) вошли 109 пациенток без нарушений углеводного обмена.
Методы регистрации исходов
После выполнения СА осуществляли оценку моторного блока по шкале Bromage (В) от 0 до 3 баллов [24] через 1, 2, 3, 4 и 5 мин. При оценке сенсорного блока (булавочный тест) фиксировали время развития блока на уровне дерматома ТhIV–ТhV. В послеоперационном периоде в течение 5 ч каждые 30 мин оценивали интенсивность болевого синдрома по визуальной аналоговой шкале (ВАШ) в баллах от 0 до 10 [25].
Этическая экспертиза
Проведение исследования одобрено Этическим комитетом ФГБОУ ВО «Амурская ГМА» (протокол № 1 от 04.02.2019). На каждую пациентку была заполнена карта формы О96/у. Все беременные были обследованы в соответствии с приказом Минздрава Российской Федерации (РФ) № 572н от 1 ноября 2012 года «Об утверждении Порядка оказания медицинской помощи по профилю “акушерство и гинекология (за исключением использования вспомогательных репродуктивных технологий)”» (с изменениями и дополнениями от 17 января 2014, 11 июня 2015, 12 января 2016 года). Исследование проводили с учётом требований Хельсинкской декларации Всемирной медицинской ассоциации «Этические принципы проведения научных исследований с участием человека» с поправками в РФ, утверждёнными приказом Минздрава РФ № 266 от 19 июня 2003 года. Все пациентки, включая несовершеннолетних, самостоятельно дали письменное информированное добровольное согласие на участие в исследовании (Федеральный закон № 323-ФЗ «Об основах охраны здоровья граждан в Российской Федерации» с изменениями, вступившими в силу с 07 марта 2018 года).
Статистический анализ
Статистический анализ полученных результатов проводили с помощью функций пакета Statistica v. 10 (StatSoft Inc., США), а также в среде программирования R (Posit PBC, США). Для построения некоторых графиков также использовали веб-приложение StatTools v. 1.0 (ИнтелТекЛаб, Россия). Статистическая обработка данных включала методы описательной статистики. Частота исследуемых событий в группе представлена в формате абсолютной (n) и относительной частоты (%). Проверку гипотезы о статистической значимости различия средних между двумя группами осуществляли при помощи t-критерия Стьюдента, отсутствие значимого различия тестируемых выборочных распределений с нормальным законом распределения вероятностей было получено по критерию Шапиро–Уилка. Для сравнения выборок малого объёма, представленных медианой и интерквартильным размахом, использовали U-критерий Манна–Уитни. Уровень значимости p для всех статистических процедур был принят равным 0,05.
РЕЗУЛЬТАТЫ
Участники исследования
В исследовании приняли участие 150 первородящих пациенток в возрасте от 15 до 25 лет. При сравнении групп пациенток статистически значимые различия получены при сравнении средних значений и стандартных отклонений (СО) следующих критериев: возраст, масса тела и индекс массы тела. Такие критерии, как рост и срок гестации, оказались сопоставимыми (табл. 1).
Таблица 1. Сравнительная характеристика пациенток с с гестационным сахарным диабетом и женщин контрольной группы
Table 1. Comparative characteristics of patients with gestational diabetes mellitus and control group
Показатели | Группа ГСД | Группа К | р | ||
n | Среднее (СО) | n | Среднее (СО) | ||
Возраст | 41 | 17,9 (2,7) | 109 | 21,2 (3,4) | 0,0000 |
Рост | 41 | 155,8 (6,9) | 109 | 157,4 (6,3) | 0,1660 |
Масса тела | 41 | 73,9 (13,1) | 109 | 64,3 (8,4) | 0,0000 |
ИМТ | 41 | 25,2 (3,6) | 109 | 21,1 (2,3) | 0,0000 |
Срок гестации | 41 | 38,0 (2,0) | 109 | 37,9 (2,3) | 0,7811 |
Примечание (здесь и в табл. 2–5). ГСД — группа с гестационным сахарным диабетом, К — контрольная группа, СО — стандартное отклонение, ИМТ — индекс массы тела.
Note (here and in Tables 2–5). ГСД — gestational diabetes mellitus, K — control group, СО — standard deviation, ИМТ – body mass index.
При сравнении скорости развития моторного блока при СА между роженицами с ГСД и без него в различные временные точки получены статистически значимые различия (табл. 2).
Таблица 2. Сравнительный анализ моторного блока в исследуемых группах через 1 мин после интратекального введения анестетика
Table 2. Comparative analysis of motor block in the study groups, 1 min after intrathecal anesthetic administration
Bromage на 1-й мин | Группа ГСД, n (%) | Группа К, n (%) | p |
0 | 41 (100,0) | 14 (12,8) | <0,0001 |
1 | 0 | 61 (56,0) | |
2 | 0 | 34 (31,2) |
Через 1 мин после интратекального введения анестетика моторный блок в группе с ГСД не развился ни у одной пациентки, в то время как в контрольной группе такой результат отмечался у 12,8% исследуемых. Больше 1/2 (56%) пациенток исследуемой группы продемонстрировали оценку моторного блока B1, у каждой третьей (31,2%) зафиксирована оценка B2 (рис. 2).
Рис. 2. Оценка моторного блока в исследуемых группах через 2 мин после интратекального введения анестетика (p <0,0001).
Примечание (здесь и на рис. 3–7). ГСД — группа с гестационным сахарным диабетом, К — контрольная группа.
Через 2 мин после интратекального введения анестетика у 50% пациенток группы с ГСД моторный блок не развился, у второй половины получена оценка B1. В контрольной группе: B1 — у 22,9%, B2 — у 59,6%, B3 — у 17,4% наблюдаемых.
Спустя 3 мин после интратекального введения анестетика у 5 (12,5%) пациенток с ГСД моторный блок не развился, у остальных пациенток этой группы оценка моторного блока распределилась следующим образом: B1 — 55%, B2 — 32,5%. В контрольной группе: B2 — 22,9%, B3 — 76,1% (рис. 3).
Рис. 3. Оценка моторного блока в исследуемых группах через 3 мин после интратекального введения анестетика (p <0,0001).
Через 4 мин после интратекального введения анестетика у всех пациенток с ГСД развился моторный блок, оценки распределилась следующим образом: B1 — 22,5%, B2 — 60%, B3 — 17,5%. В контрольной группе моторный блок, соответствующий B3, достигнут у всех пациенток (рис. 4).
Рис. 4. Оценка моторного блока в исследуемых группах через 4 мин после интратекального введения анестетика (p <0,0001).
Оценка моторного блока через 5 мин (табл. 3) показала, что уровень B2 в группе женщин с ГСД зафиксирован у 9 (22,5%) пациенток (рис. 5).
Рис. 5. Оценка моторного блока в исследуемых группах через 5 мин после интратекального введения анестетика (p <0,0001).
Таблица 3. Сравнительный анализ моторного блока в исследуемых группах через 5 мин после интратекального введения анестетика
Table 3. Comparative analysis of motor block in the study groups, 5 min after intrathecal administration of anesthetic
Bromage на 5-й мин | Группа ГСД, n (%) | Группа К, n (%) | p |
2 | 9 (22,5) | 0,0 | <0,0001 |
3 | 31 (77,5) | 109 (100,0) |
В табл. 4 и на рис. 6 представлены результаты оценки сенсорного блока в исследуемых группах. Полученные результаты показывают, что адекватный сенсорный блок на уровне ТhIV–ТhV в контрольной группе был достигнут через 3 мин после интратекального введения анестетика у 53,2%, через 4 мин — у 84,4%, через 5 мин — у всех пациенток. В группе пациенток с ГСД порог 50% был преодолён через 7 мин, у всех 100% женщин этой группы сенсорный блок был зафиксирован через 10 мин.
Таблица 4. Сравнение временных точек достижения адекватного сенсорного блока между группами с гестационным сахарным диабетом и без него
Table 4. Comparison of time points for achieving adequate sensory block between groups with and without gestational diabetes mellitus
Сенсорный блок, мин | Группа ГСД, n (%) | Группа К, n (%) | p |
3 | 0,0 | 58 (53,2) | <0,0001 |
4 | 1 (2,4) | 34 (31,2) | |
5 | 6 (14,6) | 17 (15,6) | |
6 | 9 (22,0) | 0,0 | |
7 | 9 (22,0) | 0,0 | |
8 | 7 (17,1) | 0,0 | |
9 | 4 (9,8) | 0,0 | |
10 | 5 (12,2) | 0,0 |
Рис. 6. Время регистрации сенсорного блока на уровне ТhIV–ТhV в группах с гестационным сахарным диабетом и без него (p <0,0001).
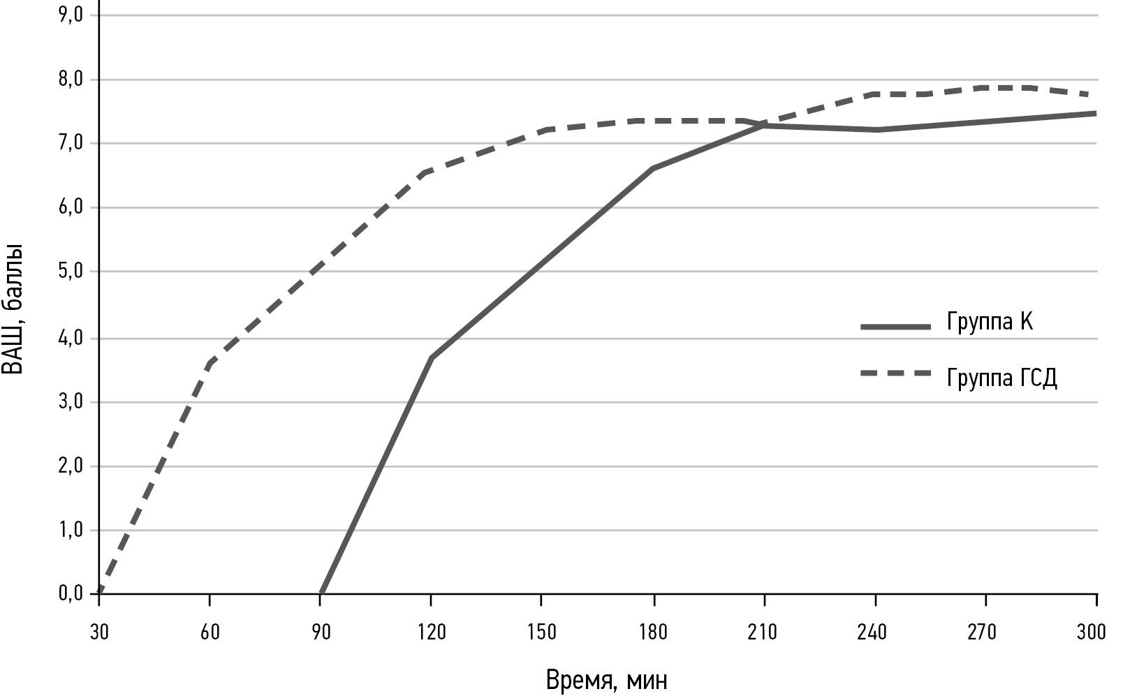
Оценка по ВАШ через 30 мин после операции оказалась равной 0 в обеих группах. Значимые болевые ощущения (>5 баллов) в группе с ГСД определялись через 90 мин, в то время как такую оценку в группе без ГСД получили через 150 мин (рис. 7).
Рис. 7. Оценка по визуальной аналоговой шкале в послеоперационном периоде (p <0,0001).
Статистически значимого различия оценок по ВАШ между двумя исследуемыми группами не получено и на 210-й мин послеоперационного периода. Средние значения оценки по ВАШ к этому времени составили 7,3 балла в группе с ГСД и 7,2 — в контрольной группе. В последующие 90 мин (до 300 мин после операции КС) отмечалось увеличение оценок боли по ВАШ в обеих группах, однако в группе с ГСД боль достигала 7,9 баллов, а в группе без ГСД максимальный уровень среднего значения оценки по ВАШ был равен 7,4 балла (табл. 5).
Таблица 5. Сравнение оценок по визуальной аналоговой шкале в послеоперационном периоде у пациенток с гестационным сахарным диабетом и без него
Table 5. Comparison of Visual Analog Scale scores in the postoperative period in patients with and without gestational diabetes mellitus
ВАШ, мин | Группа ГСД | Группа К | р |
Среднее (СО) | Среднее (СО) | ||
30 | 0,0 | 0,0 | – |
60 | 3,6 (1,2) | 0,0 | 0,0000 |
90 | 5,1 (0,9) | 0,0 | 0,0000 |
120 | 6,6 (0,7) | 3,7 (1,2) | 0,0000 |
150 | 7,2 (0,7) | 5,2 (0,8) | 0,0000 |
180 | 7,4 (0,9) | 6,6 (0,6) | 0,0000 |
210 | 7,3 (0,7) | 7,2 (0,6) | 0,5873 |
240 | 7,7 (1,1) | 7,2 (0,6) | 0,0006 |
270 | 7,9 (0,7) | 7,3 (0,7) | 0,0000 |
300 | 7,8 (0,6) | 7,4 (0,9) | 0,0174 |
Примечание. ВАШ — визуальная аналоговая шкала.
Note. ВАШ — visual analog scale.
ОБСУЖДЕНИЕ
При оценке моторного блока по шкале Bromage полученные данные показали существенное снижение скорости развития последнего. Известно, что при СД объём распределения для липофильных препаратов увеличен [10], следовательно, эффект слабее и менее продолжительный. Этим же объясняется и статистически значимая разница во времени наступления сенсорного блока (уровень ТhIV–ТhV) в исследуемых группах. Сенсорный блок в контрольной в группе развился через 5 мин у всех пациенток, в то время как в группе с ГСД этот показатель был зарегистрирован лишь спустя 10 мин.
Оценка интенсивности болевого синдрома по ВАШ >5 баллов в группе с ГСД определялась через 90 мин, в контрольной группе — через 150 мин. К 210-й мин после операции КС уровень боли по ВАШ достигал одного уровня в обеих исследуемых группах (7,3 в группе с ГСД и 7,2 — в контрольной). В последующие 90 мин (до 300 мин после операции КС) мы регистрировали увеличение оценок интенсивности боли по ВАШ в обеих группах, однако в группе с ГСД они достигали 7,9 баллов, тогда как в группе без ГСД максимальный уровень среднего значения оценки по ВАШ был равен 7,4. Наши данные не расходятся с выводами китайских исследователей, подтверждающих более частое применение опиоидов после операции КС у родильниц с ГСД [22].
ЗАКЛЮЧЕНИЕ
Полученные нами результаты позволяют утверждать, что при СА во время КС у пациенток с ГСД по сравнению с роженицами без нарушений углеводного обмена снижается скорость развития сенсорного и моторного блока. Нами показаны различия в оценке болевого синдрома в раннем послеоперационном периоде: значимые (>5 баллов по ВАШ) болевые ощущения в группе с ГСД проявляются в среднем на 60 мин раньше по сравнению с пациентками без него.
Необходимо дальнейшее изучение особенностей анестезиологического обеспечения и ведения послеоперационного периода у пациенток с ГСД.
ДОПОЛНИТЕЛЬНАЯ ИНФОРМАЦИЯ
Источник финансирования. Не указан.
Конфликт интересов. Авторы декларируют отсутствие явных и потенциальных конфликтов интересов, связанных с проведённым исследованием и публикацией настоящей статьи.
Вклад авторов. Е.Н. Дегтярёв — сбор материала, анализ источников литературы, обработка результатов, написание текста статьи; Е.М. Шифман — разработка дизайна исследования, анализ источников литературы, обработка результатов, подготовка финальной версии статьи; В.Д. Снежко — обработка результатов; И.В. Жуковец — анализ источников литературы, подготовка финальной версии статьи; С.В. Ходус — обработка результатов исследования.
ADDITIONAL INFO
Funding source. Not specified.
Competing interests. The authors declare that they have no competing interests.
Author’s contribution. E.N. Degtyarev — collection of material, analysis of literature sources, processing of results, writing an article; E.M. Shifman — development of research design, analysis of literature sources, processing of results, preparation of the final version of the article; V.D. Snezhko — processing of results; I.V. Zhukovets — analysis of literature sources, preparation of the final version of the article; S.V. Khodus — processing of research results.
About the authors
Evgeny N. Degtyaryov
Mukhin City Clinical Hospital
Author for correspondence.
Email: dormicumtrade@gmail.com
ORCID iD: 0000-0002-7472-3733
SPIN-code: 4926-0550
MD, Cand. Sci. (Med.)
Russian Federation, MoscowEfim M. Shifman
Vladimirsky Moscow Regional Research Clinical Institute
Email: dormicumtrade@gmail.com
ORCID iD: 0000-0002-6113-8498
SPIN-code: 4582-8494
MD, Dr. Sci. (Med.), Professor
Russian Federation, MoscowVera D. Snezhko
Vishnevsky National Medical Research Center of Surgery
Email: dormicumtrade@gmail.com
ORCID iD: 0000-0001-6623-9637
anesthesiologist-resuscitator
Russian Federation, MoscowIrina V. Zhukоvets
Amur State Medical Academy
Email: dormicumtrade@gmail.com
ORCID iD: 0000-0002-0555-848X
SPIN-code: 5924-3146
MD, Dr. Sci. (Med.), associate professor
Russian Federation, BlagoveshchenskSergey V. Khodus
Amur State Medical Academy
Email: dormicumtrade@gmail.com
ORCID iD: 0000-0001-5138-3791
SPIN-code: 9435-3196
MD, Cand. Sci. (Med.); associate professor
Russian Federation, BlagoveshchenskReferences
- Klinicheskie rekomendatsii. Gestatsionnyi sakharnyi diabet. Diagnostika, lechenie, akusherskaya taktika, poslerodovoe nablyudenie. Moscow; 2020. Available from: http://niiomm.ru/attachments/article/523. Accessed: 07.02.2023. (In Russ).
- IDF Diabetes Atlas. 10th ed. Brussels, Belgium: International Diabetes Federation; 2019. Available from: https://diabetesatlas.org/en/. Accessed: 07.02.2023.
- Valsamakis G, Papatheodorou DC, Chalarakis N, et al. In pregnancy increased maternal STAI trait stress score shows decreased insulin sensitivity and increased stress hormones. Psychoneuroendocrinology. 2017;84:11–16. doi: 10.1016/j.psyneuen.2017.06.008
- Albrecht SS, Kuklina EV, Bansil P, et al. Diabetes trends among delivery hospitalizations in the U.S., 1994–2004. Diabetes Care. 2010;33(4):768–773. doi: 10.2337/dc09-1801
- DeSisto CL, Kim SY, Sharma AJ. Prevalence estimates of gestational diabetes mellitus in the United States, Pregnancy Risk Assessment Monitoring System (PRAMS), 2007–2010. Prev Chronic Dis. 2014;11:E104. doi: 10.5888/pcd11.130415
- Kaplan W, Sunehag AL, Dao H, Haymond MW. Shortterms effects of recombinant human growth hormone and feeding on gluconeogenesis in humans. Metabolism. 2008;57(6):725–723. doi: 10.1016/j.metabol.2008.01.009
- HAPO Study Cooperative Research Group; Metzger BE, Lowe LP, et al. Hyperglycemia and adverse pregnancy outcomes. N Engl J Med. 2008;358(19):1991–2002. doi: 10.1056/NEJMoa0707943
- Fetita LS, Sobngwi E, Serradas P, et al. Consequences of fetal exposure to maternal diabetes in offspring. J Clin Endocrinol Metab. 2006;91(10):3718–3724. doi: 10.1210/jc.2006-0624
- Scholtens DM, Kuang A, Lowe LP, et al. Hyperglycemia and adverse pregnancy outcome follow-up study (HAPO FUS): maternal gestational diabetes mellitus and childhood glucose metabolism. Diabetes Care. 2019;42(3):381–392. doi: 10.2337/dc18-2021
- Naylor CD, Sermer M, Chen E, Sykora K. Cesarean delivery in relation to birth weight and gestational glucose tolerance: pathophysiology or practice style? JAMA. 1996;275(15):1165–1170.
- Yogev Y, Ben-Haroush A, Chen R, et al. Active induction management of labor for diabetic pregnancies at term; mode of delivery and fetal outcome — a single center experience. Eur J Obstet Gynecol Reprod Biol. 2004;114(2):166–170. doi: 10.1016/j.ejogrb.2003.10.017
- Saxena P, Tyagi S, Prakash A, et al. Pregnancy outcome of women with gestational diabetes in a tertiary level hospital of north India. Indian J Community Med. 2011;36(2):120–123. doi: 10.4103/0970-0218.84130
- Gascho CL, Leandro DM, Ribeiro E Silva T, Silva JC. Predictors of cesarean delivery in pregnant women with gestational diabetes mellitus. Rev Bras Ginecol Obstet. 2017;39(2):60–65. doi: 10.1055/s-0037-1598644
- Abu-Heija AT, Al-Bash M, Mathew M. Gestational and pregestational diabetes mellitus in Omani women: comparison of obstetric and perinatal outcomes. Sultan Qaboos University Med J. 2015;15(4):e496. doi: 10.18295/squmj.2015.15.04.009
- McMahon MJ, Ananth CV, Liston RM. Gestational diabetes mellitus. Risk factors, obstetric complications and infant outcomes. J Reprod Med. 1998;43(4):372–378.
- Gasim T. Gestational diabetes mellitus: maternal and perinatal outcomes in 220 Saudi women. Oman Med J. 2012;27(2):140. doi: 10.5001/omj.2012.29
- Courteix C, Bourget P, Caussade F, et al. Is the reduced efficacy of morphine in diabetic rats caused by alterations of opiate receptors or of morphine pharmacokinetics? J Pharmacol Exp Ther. 1998;285(1):63–70.
- Das UN. Hypothesis: Intensive insulin therapy-induced mortality is due to excessive serotonin autoinhibition and autonomic dysregulation. World J Diabetes. 2010;1(4):101–108. doi: 10.4239/wjd.v1.i4.101
- Todorovic SM. Is Diabetic Nerve Pain Caused by Dysregulated Ion Channels in Sensory Neurons? Diabetes. 2015;64(12):3987–3989. doi: 10.2337/dbi15-0006
- Zhang HH, Hu J, Zhou YL, et al. Promoted interaction of nuclear factor-κB with Demethylated Purinergic P2X3 receptor gene contributes to neuropathic pain in rats with diabetes. Diabetes. 2015;64(12):4272–4284. doi: 10.2337/db15-0138
- Park SH, Bahk JH, Oh AY, et al. Gender difference and change of α(1)-adrenoceptors in the distal mesenteric arteries of streptozotocin-induced diabetic rats. Korean J Anesthesiol. 2011;61(5):419–427. doi: 10.4097/kjae.2011.61.5.419
- Yang C, Geng WL, Hu J, Huang S. The effect of gestational diabetes mellitus on sufentanil consumption after cesarean section: a prospective cohort study. BMC Anesthesiol. 2020;20(1):14. doi: 10.1186/s12871-019-0925-1
- Kulikov AV, Shifman EM, editors. Anesteziya pri operatsii kesareva secheniya. In: Anesteziya, intensivnaya terapiya i reanimatsiya v akusherstve i ginekologii. Klinicheskie rekomendatsii. Protokoly lecheniya. Moscow: Meditsina; 2020. P. 348–382. (In Russ).
- Bromage PR, editor. Epidural Analgesia. Philadelphia: WB Saunders; 1978. P. 144.
- Scott J, Huskisson EC. Graphic representation of pain. Pain. 1976;2(2):175–184.
- Klinicheskie rekomendatsii. Rody odnoplodnye, rodorazreshenie putem kesareva secheniya. Moscow; 2021. Available from: http://minzdravrm.ru/wp-content/uploads/2021/07/Rodi_odnoplodtii_rodorazrechenie_putem_kesareva.pdf. Accessed: 07.02.2023. (In Russ).
Supplementary files










