The use of epidural morphine in patients with severe traumatic injury
- Authors: Sholin I.Y.1, Ezugbaia B.S.1, Avetisyan V.A.1, Koriachkin V.A.1, Zhikharev V.A.1
-
Affiliations:
- Research Institute-Regional clinical hospital N1 named after Professor S.V. Ochapovsky
- Issue: Vol 12, No 4 (2018)
- Pages: 257-264
- Section: Original study articles
- Submitted: 19.02.2021
- Accepted: 19.02.2021
- Published: 19.12.2018
- URL: https://rjraap.com/1993-6508/article/view/61298
- DOI: https://doi.org/10.17816/RA61298
- ID: 61298
Cite item
Full Text
Abstract
Objective. Assessment of the efficacy and safety of epidural morphine in patients with severe concomitant injury.
Material and methods. 70 patients with severe combined injury (17–45 points for ISS) were divided into two groups: in group 1 (n = 37), 2 mg of morphine was administered epidurally followed by morphine infusion 0.4 mg / h, in the 2nd group (n = 33), intravenous administration of fentanyl was used at a rate of 50–100 μg / h. The level of pain syndrome was assessed by a 10-point visual analogue scale (VAS). The mean arterial pressure (MAP) and heart rate (HR) at rest and with activation were recorded, the gas composition of the blood (pH, SaO2, PaCO2) was measured, and the vital capacity (VC) was measured. The evaluation of delirium was carried out according to the RASS and CAM-ICU scales. In addition, they recorded the frequency of itching.
Results. The intensity of a pain syndrome at rest was more expressed at patients of the 2nd group (p < 0.05). Against the background of activation of 10,8% of patients of the 1st group and 36,4% of patients of the 2nd group experienced a pain syndrome intensity of 4–7 points on VAS. In patients of the 2nd group, with activation, there was an increase (p < 0.05) in the indices of MAP and HR. VC in patients of the 1st group was 45.4 ± 5.8%, in the 2nd – 41.3 ± 4.7% (p < 0.005). Patients of the 1st group had a lower level of PaCO2 (p < 0.05) compared with the 2nd group. Postoperative delirium developed in the 1st group in 16.2%, in the 2nd – in 30.3% of patients (p < 0.05). Pruritus occurred in the 1st group at 21.6% and was absent in the group with systemic administration of opioids. Opioid-induced ileus, nausea and vomiting in the 1st group were not recorded, in the 2nd group were noted in 18.2% and in 9.1% of cases (p < 0.05), respectively.
Conclusion. The use of epidural morphine in patients with severe traumatic injury effective pain relief was observed, not accompanied by of the respiratory depression and changes in blood gas composition. Epidural administration of morphine in patients undergoing massive blood loss and hemorrhagic shock was not accompanied by arterial hypotension. Effective anesthesia contributed to reducing the incidence of postoperative complications.
Keywords
Full Text
Всемирная организация здравоохранения признала эффективную анальгезию важнейшим компонентом лечения пациентов [1]. По данным J. Gadsden и A. Warlick (2015), до 90% пациентов с травмой имеют болевые ощущения интенсивностью от умеренной до сильной [2]. К основным факторам развития послеоперационной боли относятся повреждение кожи и мышц, приводящие к гипоксемии тканей, ацидемии, способствующих высвобождению медиаторов воспаления и других биологически активных субстанций, ответственных за снижение порога возбудимости и увеличение спонтанной активности нейронов, усиление афферентной импульсации, приводящей к сенсибилизации центральной нервной системы и изменению передачи ноцицепции [3].
Некупированная острая боль связана с такими осложнениями, как пневмонии, ишемии миокарда, нарушение функции желудочно-кишечного тракта, тромбоэмболии. Кроме того, на фоне болевого синдрома отмечены поведенческие изменения, нарушение сна, плохое заживление ран и значительное удлинение восстановительного периода [4.].
Традиционно для купирования болевого синдрома у пострадавших с политравмой используются в/м или в/в введение наркотических анальгетиков, однако, для достижения адекватной анальгезии требуется существенное увеличение дозировок, что сопряжено с ростом частоты жизнеугрожающих побочных эффектов, к которым в первую очередь относятся угнетения дыхательного центра и сознания [5]. Все вышеуказанное ограничивает системное введение наркотических анальгетиков в клинической практике.
Местные анестетики, вводимые на сегментарном уровне отдельно или в сочетании с опиоидами, могут препятствовать передаче ноцицептивной импульсации в центральную нервную систему [6].
Эпидуральная анальгезия позволяет обеспечить длительную анальгезию, гемодинамическую и нейровегетативную стабильность [7]. Однако в литературе имеется небольшое число работ, описывающих применение эпидуральной анальгезии у пациентов с сочетанной травмой [8–10].
Целью исследования явилась оценка эффективности и безопасности эпидуральной анальгезии морфином у пациентов с тяжелой сочетанной травмой.
Материалы и методы
После одобрения локальным этическим комитетом ГБУЗ НИИ «Краевая клиническая больница № 1 им. проф. С.В. Очаповского» Минздрава Краснодарского края обследовано 70 пациентов с тяжелой сочетанной травмой.
Критерии включения:
- возраст от 20 до 65 лет,
- сочетанная травма груди и живота,
- перелом трех и более ребер,
- оценка тяжести повреждений при сочетанной травме 17–45 баллов по ISS.
Критерии исключения:
- отказ пациента от участия в исследовании,
- тяжелая черепно-мозговая травма,
- осложненный перелом позвоночника,
- беременность.
Пациентов разделили на 2 сопоставимые по своим характеристикам группы (табл. 1). В 1-й группе (n=37) пункцию и катетеризацию эпидурального пространства проводили на уровне L1 с введением катетера на 4 см в краниальном направлении. Эпидурально болюсно вводили 2 мг морфина в 2 мл изотонического раствора натрия хлорида с последующей инфузией морфина со скоростью 0,4 мг/ч. Во 2-й группе (n=33) в качестве обезболивания использовали в/в введение фентанила со скоростью 50–100 мкг/ч. В обеих группах дополнительно назначали 2 г в сут аминоцетофена, 200 мг в сут кетопрофена в/в и 300 мг в сут прегабалина внутрь.
Таблица 1. Характеристики обследованных пациентов (М ±SD)
Характеристики | 1-я группа (n=37) | 2-я группа (n=33) |
Пол, м/ж | 22 (59,5%)/ 15 (40,5%) | 19 (57,6%)/ 14 (42,4%) |
Возраст, г | 37±11,2 | 35±8,8 |
Масса тела, кг | 79±13,0 | 82±12,6 |
ISS | 25,7±5,8 | 25,4±5,9 |
AIS (грудь) | 2,9±0,7 | 2,9±0,8 |
ISS (Injury Severity Score) – оценка тяжести повреждений при сочетанной травме, AIS (Abbreviated Injury Scale) – сокращенная шкала повреждений.
Уровень болевого синдрома оценивали по 10-балльной визуально-аналоговой шкале (ВАШ). Измерения проводили каждые 3 ч в покое и при физической активности. Физической активностью считали выполнение активных и пассивных движений, респираторную гимнастику и активное откашливание.
Измерение среднего артериального давления (САД) и частоты сердечных сокращений (ЧСС) в покое и непосредственно после начала активизации проводили с помощью монитора Drager infinity delta (Германия). Оценку газового состава крови (pH, SaO2, PaCO2) выполняли на газоанализаторе ABL800 FLEX (Дания).
Жизненную емкость легких (ЖЕЛ) измеряли при помощи спирометра MasterScreen Body (Германия). Полученный результат в процентном соотношении сравнивали с расчетным показателем (ЖЕЛфакт. /ЖЕЛрасчет. *100%). Определение должной ЖЕЛ проводилось с помощью формул:
- для мужчин: 0,052*рост (см) – 0,028*возраст (годы) – 3,2.
- для женщин: 0,049*рост (см) – 0,019*возраст (годы) – 3,76.
Оценка степени возбужденности и делирия проводилась по шкалам RASS и CAM-ICU. Кроме того, фиксировали частоту кожного зуда и определяли при помощи ультразвукового контроля наличие перистальтики кишечника, время начала отхождения газов и стула.
Статистическая обработка полученных цифровых данных проводилась при помощи стандартных методов с использованием программного обеспечения для РС Microsoft Excel 13 и STATISTICA 6,0. Полученные данные проверяли на нормальность распределения. Учитывая характер распределения, использовали параметрические методы статистического анализа. Результаты представлены в виде среднего значения и стандартного отклонения (M± σ).
Результаты
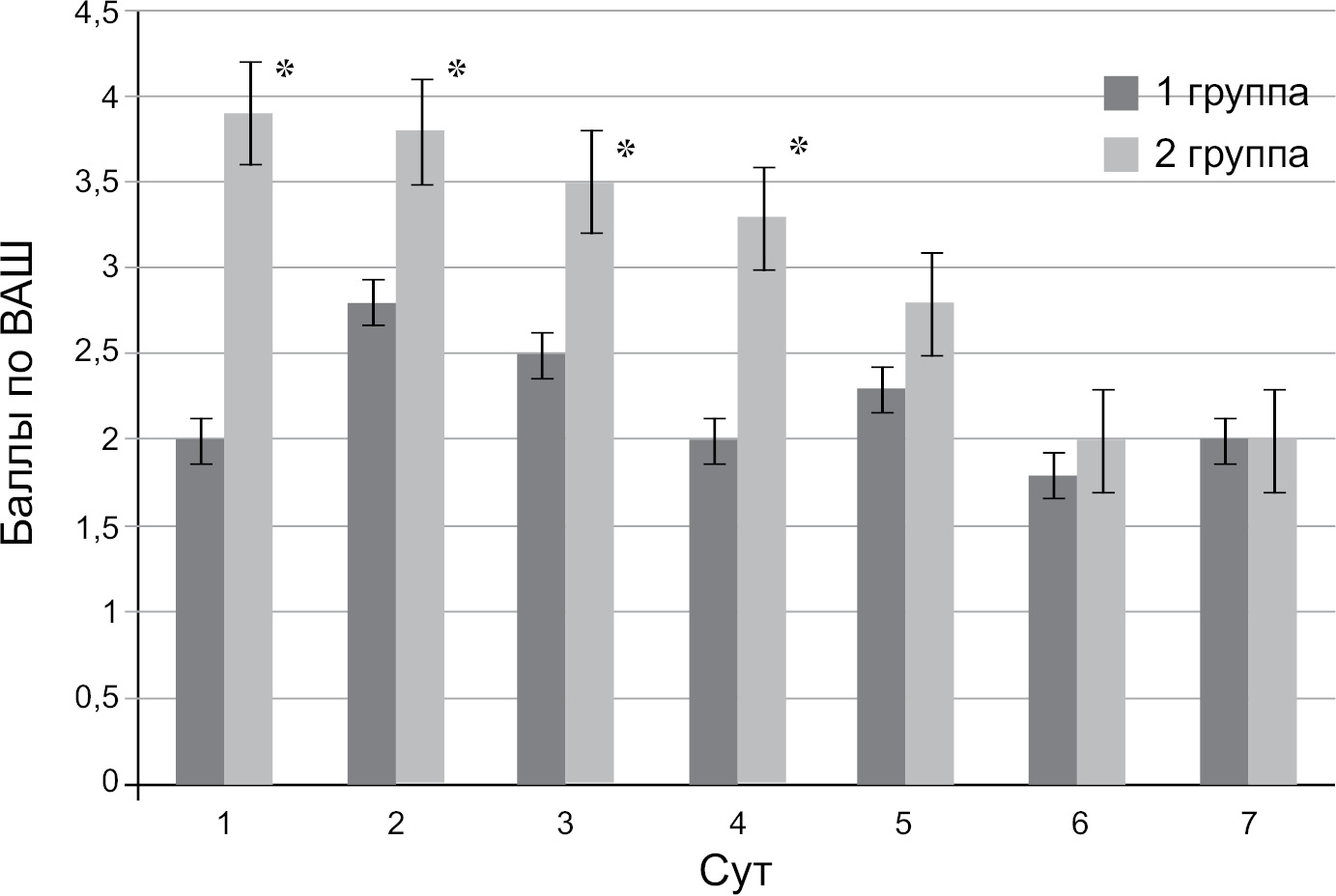
В течение первых 4 сут интенсивность болевого синдрома в покое была более выражена у пациентов 2-й группы (p<0,05). Начиная с 5-х сут, статистически значимых различий между группами не установлено (рис. 1).
Рис. 1. Интенсивность болевого синдрома в покое (M± σ). * р < 0,05 по сравнению с 1-й группой
На фоне активизации (выполнение активных и пассивных упражнений) и проведения респираторной гимнастики у 4 (10,8%) пациентов из 1-й группы и 12 (36,4%) пациентов из 2-й группы интенсивность болевого синдрома составляла от 4 до 7 баллов по ВАШ, что требовало дополнительного обезболивания. В этих случаях анальгезия достигалась в 1-й группе болюсным эпидуральным введением 2 мг морфина с последующим увеличением скорости инфузии до 0,6 мг/ч, во 2-й группе делали в/в болюс 50–100 мкг фентанила. После дополнительного обезболивания уровень боли снижался до 2 баллов по ВАШ, что соответствовало оптимальному уровню, позволяющему проводить активизацию и респираторную гимнастику. Уровень интенсивности болевого синдрома при активизации пациентов представлен на рис. 2.
Рис. 2. Интенсивность болевого синдрома при активизации (M± σ). *р < 0,05 по сравнению с 1-й группой
В покое на фоне анальгезии у больных 1-й группы показатели САД и ЧСС были стабильными. Прессорных реакций кровообращения не фиксировалось. Во 2-й группе у пациентов уровни САД и ЧСС были так же стабильными, но их величина была достоверно (р < 0,05) выше по сравнению с 1-й группой.
Активизация пациентов сопровождалась ростом САД и ЧСС. Однако в 1-й группе изменения САД и ЧСС не достигали статистической значимости и были существенно более низкими по сравнению со 2-й группой. У пациентов 2-й группы отмечено статистически значимое (р < 0,05) увеличение показателей САД и ЧСС (табл. 2).
Таблица 2. Изменение показателей САД и ЧСС (M± σ)
Показатели | Группы | В покое | При активизации |
САД, мм рт.ст | 1-я (n=37) | 76 ± 12,2 | 81 ± 10,6 |
2-я (n=33) | 94 ± 14,3* | 101 ± 12,8* | |
ЧСС, уд/мин | 1-я (n=37) | 79 ± 14,4 | 85 ± 13,3 |
2-я (n=33) | 88 ± 13,1* | 99 ± 10,5* |
*р < 0,05 по сравнению с 1-й группой.
Качество обезболивания оценивали по величине относительной ЖЕЛ на фоне анальгезии (рис. 3). Величина ЖЕЛ у пациентов 1-й группы составляла ±5,8%, во 2-й — 41,3±4,7% (р < 0,005).
Рис. 3. Величина жизненной емкости легких (M± σ). *р < 0,05 по сравнению с 1-й группой
Оценка газового состава крови показала, что показатели pH статистически значимых различий не имели. У пациентов 1-й группы наблюдался статистически значимо (р < 0,05) более низкий уровень напряжения СО2 в артериальной крови по сравнению со 2-й группой, тем не менее указанные показатели находились в пределах допустимых значений и коррекции не требовали. В обеих группах показатели SaO2 в пределах нормы. Полученные данные представлены в табл. 3.
Таблица 3. Показатели газового состава крови (M± σ)
Показатель | 1-я группа (n=37) | 2-я группа (n=33) |
pH | 7,42 ± 0,02 | 7,40 ± 0,03 |
PaCO2, мм рт.ст. | 39 ± 3,3 | 44 ± 2,4* |
SaO2, % | 97 ± 2,1 | 98 ± 2,0 |
*р < 0,05 по сравнению с 1-й группой.
Клинически значимого угнетения дыхания, проявляющегося в виде урежения частоты дыханий менее 8 в минуту, снижения сатурации менее 92%, точечных зрачков и необходимости введения налоксона ни в одной из исследуемых групп не наблюдалось.
В 1-й группе 6 (16,2%) пациентов имели оценку по шкале RASS +1 и выше и положительную оценку по шкале CAM-ICU (рис. 4). Во 2-й группе послеоперационный делирий развивался достоверно (p < 0,05) чаще – у 10 (30,3%) пациентов (рис. 5). Все случаи делирия фиксировались преимущественно в ночное время суток и требовали медикаментозной коррекции, которая достигалась в/в инфузией дексмедетомидина в дозе 0,2-0,7 мкг/кг*ч или в/м введением от 10 до 30 мг/сут галоперидола.
Рис. 4. Уровень возбуждения по шкале RASS
Рис. 5. Частота развития послеоперационного делирия. *р < 0,05 по сравнению с 1-й группой
Кожный зуд встречался в 1-й группе (n=8, 21,6%) и отсутствовал в группе с системным введением опиоидов (p < 0,05).
Опиоид-индуцированный илеус во 2-й группе встретился у 6 (18,2%) пациентов. Отхождение газа и первый стул были получены в большинстве случаев на 3-и сут. С целью стимуляции моторики кишечника и улучшения пассажа использовали пикосульфат натрия перорально и очистительные клизмы. В 1-й группе подобных осложнений не наблюдали. Случаев тошноты и рвоты в 1-й группе не отмечено. Во 2-й группе у 3 (9,1%) пациентов встречались тошнота и рвота, которые успешно были купированы введением ондансетрона. Все пациенты с тошнотой и рвотой были женского пола. В обеих группах случаев острой задержки мочеиспускания не было, поскольку у всех пациентов устанавливали уретральный катетер.
Обсуждение
После операции и относительной стабилизации состояния пациента на первый план выходит болевой синдром, который является одной из наиболее распространенных жалоб пациентов с политравмой, поскольку до 64% таких пациентов имеют выраженные болевые ощущения, требующие медикаментозной терапии [11]. Хотя полное купирование боли практически не достижимо [12], имеется возможность снизить интенсивность болевого синдрома, что доказывают результаты нашего исследования. В течение первых четырех суток как в покое, так и во время мобилизации в группе с эпидуральным введением морфина уровень боли был статистически значимо ниже, чем в группе с в/в введением фентанила.
Эпидуральную анальгезию морфином при политравме целесообразно использовать у всех пациентов, поскольку этот метод обезболивания, наряду с хорошим болеутоляющим эффектом, может способствовать скорейшей активизации больного.
Развитие артериальной гипотонии после введения морфина эпидурально или фентанила в/в гипотетически возможно, однако снижение артериального давления, как правило, связано с другими факторами. Артериальная гипотония была связана с введением анальгетиков только в 0,2% случаев [13].
Наши наблюдения показали стабильность САД и ЧСС на фоне использования эпидуральной анальгезии морфином. Напротив, в/в введение фентанила сопровождалось более высокими значениями САД и ЧСС, что, по нашему мнению, обусловлено активацией симпатоадреналовой системы вследствие недостаточного анальгетического эффекта.
Таким образом, при эпидуральной анальгезии морфином показатели САД и ЧСС меняются незначительно даже у пациентов, перенесших массивную кровопотерю и геморрагический шок. При в/в введении фентанила как в покое, так и во время активизации отмечено увеличение показателей САД и ЧСС, что связано с недостаточной анальгезией.
В обеих группах снижение ЖЕЛ составило более 50%. Причиной снижения ЖЕЛ у пациентов с политравмой с одной стороны явился болевой синдром, связанный с травмами и, в частности, с множественными переломами ребер. «Болевой тормоз» способствовал существенному ограничению мобильности пациентов, ухудшению эвакуации мокроты и создавал высокий риск легочных осложнений [14]. С другой стороны, прослеживалось определенное влияние метода анальгезии. По нашим данным, на фоне в/в инфузии фентанила степень снижения ЖЕЛ достигала 41,3±4,7% от исходных показателей и была значительно больше выражена, чем при ЭА морфином, где снижение составило 45,4±5,8% (р < 0,005) от исходных показателей.
Полученные нами данные дают все основания утверждать, что в отношении влияния на ЖЕЛ у пациентов с политравмой эпидуральное введение морфина более предпочтительно, чем в/в введение фентанила. Приведенные результаты подтверждают выводы, содержащиеся в работе [15].
Таким образом, у пациентов с политравмой в отношении влияния на ЖЕЛ эпидуральная анальгезия морфином является более предпочтительным методом обезболивания по сравнению с в/в инфузией фентанила.
Частота угнетения дыхания варьирует от 0,1 до 37% [16] и зависит от дозы наркотического анальгетика. У пациентов, находившихся под нашим наблюдением, респираторной депрессии не наблюдалось, т. к. с одной стороны вводимые дозы не были большими, с другой – небольшим числом пациентов, включенных в исследование.
В работе Duarte L. et al. (2009) при анализе 2155 эпидуральных и 635 в/в анальгезий частота угнетения дыхания составляла в первом случае 0,05%, во втором – 0,94% [17]. В целом, частота угнетения дыхания значительно выше у пациентов, получавших в/в введение наркотических анальгетиков, по сравнению с эпидурально вводимым морфином [18].
Несмотря на достаточную редкость подобного осложнения, анализ 357 судебных исков показал, что угнетение дыхания в подавляющем (88%) большинстве случаев события происходило в течение сут после операции, а в 97% было расценено как потенциально предотвратимое [19].
Таким образом, на фоне эпидуральной анальгезии морфином значимого угнетения дыхания не выявлено.
По нашему мнению, недостаточно полно купированный болевой синдром является одним из главных факторов развития послеоперационного делирия. По данным метаанализа, частота развития делирия в хирургии составляет от 3,6 до 28,3%, при этом у пациентов с изолированными травмами может достигать 53,3% [20].
Развитие послеоперационного делирия увеличивает число серьезных осложнений, удлиняет сроки госпитализации, увеличивает затраты на лечение, и, наконец, делирий выступает независимым предиктором роста летальности [21, 22]. В исследовании Gruber-Baldini A. et al. (2003) делирий был ассоциирован с ухудшением восстановления функции поврежденной конечности даже спустя год после травмы [23].
Наш опыт показывает, что на фоне эпидуральной анальгезии морфином частота послеоперационного делирия встречалась реже по сравнению с в/в инфузией фентанила. Складывается впечатление об эффективности лечения послеоперационного делирия дексмедетомидином, но этот вопрос требует многоцентрового исследования [24, 25].
Таким образом, применение эпидуральной анальгезии морфином у пациентов с политравмой сопровождается меньшей частотой развития послеоперационного делирия.
Кожный зуд чаще встречался в группе эпидуральной анальгезии, что согласуется с предыдущими сообщениями [26]. В травматологии при использовании спинально введенных опиоидов зуд возникает с частотой от 30 до 60% [27]. Следует подчеркнуть, что низкая частота зуда обусловлена тем, что пациент отвлечен проблемами, связанными с травмой, интенсивность зуда не велика, поэтому больные не предъявляли соответствующих жалоб. Специального лечения зуд не требовал.
Выводы
Таким образом, эпидуральная анальгезия морфином является эффективным и безопасным методом анальгезии у пациентов в раннем посттравматическом периоде. При эпидуральном введении морфина у пациентов с тяжелой сочетанной травмой наблюдалось более эффективное обезболивание, не сопровождающееся угнетением дыхательного центра и изменением газового состава крови по сравнению с в/в инфузией фентанила. Эпидуральное введение морфина у пациентов, перенесших массивную кровопотерю и геморрагический шок, не сопровождалось артериальной гипотонией. Отсутствие болевого «тормоза» приводило к увеличению жизненной емкости легких. Эффективность обезболивания способствовала снижению риска развития послеоперационного делирия и таких осложнений, как опиоид-индуцированного илеуса и тошноты и рвоты.
About the authors
Ivan Y. Sholin
Research Institute-Regional clinical hospital N1 named after Professor S.V. Ochapovsky
Author for correspondence.
Email: scholin.i@mail.ru
the Head of the Department of Anesthesiology and Intensive Care № 6
Russian Federation, KrasnodarB. S. Ezugbaia
Research Institute-Regional clinical hospital N1 named after Professor S.V. Ochapovsky
Email: scholin.i@mail.ru
Russian Federation, Krasnodar
V. A. Avetisyan
Research Institute-Regional clinical hospital N1 named after Professor S.V. Ochapovsky
Email: scholin.i@mail.ru
Russian Federation, Krasnodar
V. A. Koriachkin
Research Institute-Regional clinical hospital N1 named after Professor S.V. Ochapovsky
Email: scholin.i@mail.ru
Russian Federation, Krasnodar
V. A. Zhikharev
Research Institute-Regional clinical hospital N1 named after Professor S.V. Ochapovsky
Email: scholin.i@mail.ru
Russian Federation, Krasnodar
References
- Gan T.J., Habib A.S., Miller T.E., White W., Apfelbaum J.L. Incidence, patient satisfaction, and perceptions of post-surgical pain: results from a US national survey. Curr. Med. Res. Opin. 2014 Jan; 30 (1): 149–60.
- Gadsden J., Warlick A. Regional anesthesia for the trauma patient: improving patient outcomes. Local and Regional Anesthesia. 2015; 8: 45–55.
- Eisenach J.C. Brennan T.J. Pain after surgery. Pain. 2018; 159 (6): 1010–11.
- Ashton-James C. E., Tybur J. M. Tymour Forouzanfar Interpersonal behavior in anticipation of pain: naturalistic study of behavioral mimicry prior to surgery. Pain Rep. 2017; 2 (4): e605.
- Ivanova M.P., Konkayev A.K., Koryachkin V.A. Klinicheskaya otsenka metodov analgezii pri vnutribol’nichnoy transportirovke patsiyentov s sochetannoy travmoy. Vrach-aspirant. 2013; 4 (59): 100–4.
- Pogatzki-Zahn E.M, Segelcke D., Schug S.A. Postoperative pain–from mechanisms to treatment. Pain Rep. 2017; 2:e588.
- Rozenko D.A., Ushakova N.D., Dimitriadi S.N. Anesteziologicheskoye obespecheniye sochetaniyem mnogokomponentnoy obshchey anestezii i epidural’noy analgezii v onkologicheskoy praktike. Sovremennyye problemy nauki i obrazovaniya. 2016; 6: 150–3.
- Koryachkin V.A., Strashnov V.I., Pryazhentsev V.V. Dvukhurovnevaya epidural’naya analgeziya u postradavshikh s tyazhelymi mekhanicheskimi povrezhdeniyami. Consilium medicum: Khirurgiya. 2008; 2: 20–1. (In Russian)
- Dzyadz’ko A.M., Santotskiy Ye.O., Zlatogure A.V. Neyroaksial’naya anal’geziya v intensivnoy terapii politravmy. Regionarnaya anesteziya i lecheniye ostroy boli. 2013; 4: 54–9. (In Russian)
- Wu J.J., Lollo L., Grabinsky A. Regional anesthesia in trauma medicine. Anesthesiol. Res. Pract., 2011;2011:Article ID 713281, p. 1–7.
- Carroll K.C., Atkins P.J., Herold G.R., Mlcek C.A., Shively M., Clopton P., Glaser D.N. Pain assessment and management in critically ill postoperative and trauma patients: a multisite study. Am. J. Crit. Care. 1999; 8 (2): 105–17.
- Ahmadi A., Bazargan-Hejazi S., Heidari Zadie Z. et al. Pain management in trauma: A review study. Journal of Injury and Violence Research. 2016; 8 (2): 89–98.
- Flisberg P, Rudin, å, Linner, R, Lundberg, CJF. Pain relief and safety after major surgery. A prospective study of epidural and intravenous analgesia in 2696 patients. Acta Anaesthesiol. Scand. 2003; 47: 457–65.
- Carver T.W., Milia D.J., Somberg C., Brasel K., Paul J. Vital capacity helps predict pulmonary complications after rib fractures. J. Trauma Acute Care Surg. 2015; 79 (3): 413–6.
- McKendy K.M., Lee L.F., Boulva K., Deckelbaum D.L., Mulder D.S., Razek T.S., Grushka J.R. Epidural analgesia for traumatic rib fractures is associated with worse outcomes: a matched analysis. J. Surg. Res. 2017; 214: 117–23.
- Cashman J.N., Dolin, S.J. Respiratory and haemodynamic effects of acute postoperative pain management: Evidence from published data. Br. J. Anaesth. 2004; 93: 212–23.
- Duarte L.T.D., Fernandes M.C., Costa V.V., Saraiva R.A. The incidence of postoperative respiratory depression in patients undergoing intravenous or epidural analgesia with opioids. Rev. Bras. Anestesiol. 2009; 59 (4): 409–20.
- Sultan P., Gutierrez M.C., Carvalho B. Neuraxial morphine and respiratory depression: finding the right balance. Drugs. 2011; 71 (14): 1807–19.
- Lee L.A., Caplan R.A., Stephens L.S., Posner K.L. et al. Postoperative Opioid-induced Respiratory Depression: A Closed Claims Analysis. Anesthesiology. 2015; 122: 659–65.
- Bruce A.J., Ritchie C.W., Blizard R., Lai R., Raven P. The incidence of delirium associated with orthopedic surgery: a meta-analytic review. Int. Psychogeriatr. 2007; 19 (2): 197–214.
- Koryachkin V.A. Posleoperatsionnyy deliriy: faktory riska i profilaktika v ortopedotravmatologicheskoy praktike. Travmatologiya i ortopediya Rossii. 2013; 2 (68): 128–35. (In Russian)
- Witlox J., Eurelings L.S., de Jonghe J.F., Kalisvaart K.J., Eikelenboom P., van Gool W.A. Delirium in elderly patients and the risk of postdischarge mortality, institutionalization, and dementia: a meta-analysis. JAMA. 2010; 304 (4): 443–51.
- Gruber-Baldini A.L., Zimmerman S., Morrison R.S., Grattan L.M., Hebel J.R., Dolan M.M., Hawkes W., Magaziner J. Cognitive impairment in hip fracture patients: timing of detection and longitudinal follow-up. J. Am. Geriatr. Soc. 2003; 51 (9): 1227–36.
- Bershadskiy F.F., Ulitkina O.N., Skripkin YU.V., Likhvantsev V.V. Sedatsiya deksmedetomidinom sokrashchayet sroki lecheniya deliriya u postradavshikh s tyazheloy sochetannoy travmoy. Al’manakh klinicheskoy meditsiny. 2017; 45 (8): 652– 7. (In Russian)
- Sokolov C.V., Zabolotskiy D.V., Koryachkin V.A. Profilaktika posleoperatsionnogo deliriya u bol’nykh pozhilogo i starcheskogo vozrasta v ortopedicheskoy praktike. Regionarnaya anesteziya i lecheniye ostroy boli. 2018; 12 (1): 41–6. (In Russian)
- Reich A., Szepietowski J.C. Opioid-induced pruritus: An update. Clin. Exp. Dermatol. 2010; 35: 2–6.
- Rafmell D.P., Nil D.M., Viskoumi K.M. Regionarnaya anesteziya. Samoye neobkhodimoye v anesteziologii. 4th ed. Moscow: MEDpress-inform; 2015; 276 p.
Supplementary files






