Obturator nerve block
- Authors: Koriachkin V.A.1, Zabolotskii D.V.1, Gribanov D.V.2, Antoshkova T.A.2
-
Affiliations:
- Saint-Petersburg State Pediatric Medical University of the Ministry of Healthcare of the Russian Federation
- St Luka Clinical Hospital
- Issue: Vol 14, No 3 (2020)
- Pages: 130-140
- Section: Reviews
- Submitted: 07.01.2021
- Accepted: 07.01.2021
- Published: 07.01.2021
- URL: https://rjraap.com/1993-6508/article/view/57660
- DOI: https://doi.org/10.17816/RA57660
- ID: 57660
Cite item
Abstract
One of the “forgotten” techniques of regional anesthesia is blockade of the obturator nerve, which was performed using anatomical landmarks and neurostimulation. In recent years, ultrasonic navigation methods have gained wide popularity when using regional blockades. The purpose of the review is to present the current understanding of the use of obturator nerve block in clinical practice. The review presents the anatomical features of the obturator nerve passage, surgical and therapeutic indications for the use of its blockade. The technique for performing obturator blockade using ultrasound navigation is described in detail. Blockade of the obturator nerve using ultrasound navigation can reduce the likelihood of surgical complications during transurethral resection of a tumor located on the lateral wall of the bladder, improve analgesia after hip and knee surgery, and effectively relieve spastic conditions of the adductor muscles of the hip.
Full Text
Внедрение ультразвукового оборудования способствовало не только появлению новых блокад, таких как блокада в промежутке между подколенной артерией и капсулой заднего колена (IPACK) [1], усовершенствованию блокад подвздошно-подчревного и подвздошно-пахового нервов, подкожного нерва бедра [2, 3], но и возрастанию интереса к старым, уже забытым, нервным блокам. Существенное значение в этом отношении имели и работы по топографической анатомии нижних конечностей Tran J.et al. (2019) [4, 5] и Short A.J. et al. (2018) [6].
Одной из таких забытых методик является блокада запирательного нерва, впервые описанная в 1922 г. Лабатом Г. Вначале для доступа к запирательному нерву были предложены способы с использованием анатомических ориентиров, позже, для верификации расположения иглы, – нейростимуляция [7–9], в течение последнего десятилетия популярность приобрели методы блокады запирательного нерва в условиях ультразвуковой навигации (УЗ-навигации).
Цель обзора – показать современные представления о применении блокады запирательного нерва в клинической практике.
При написании обзора использовались публикации, вошедшие в базы данных PubMed и MEDLINE, материалы ведущих мировых организаций, таких как European Society of Regional Anaesthesia and Pain Therapy American Society of Regional Anesthesia and Pain Medicine, Asian and Oceanic Society of Regional Anaesthesia, European Association of Urology European Academy of Neurology. Поиск, выполненный в период с 1 апреля 2000 г. по 30 сентября 2020 г., был направлен на изучение литературы, имеющей отношение к использованию блокад запирательного нерва и осуществлялся по ключевым словам: блокада запирательного нерва, ультразвуковая навигация, трансуретральная резекция опухоли мочевого пузыря, спазм приводящих мышц бедра.
Блокада запирательного нерва обычно выполняется для предотвращения внезапного приведения бедра во время трансуретральной резекции опухоли мочевого пузыря [10], обеспечения анальгезии при операции на колене [11], как компонент лечения хронической боли в бедре [12], а также для устранения спастики мышц бедра у пациентов с параплегией, рассеянным склерозом, церебральным параличом [13, 14].
Запирательный нерв блокируют при хирургических вмешательствах, которые требуют релаксации приводящих мышц бедра или при операциях в медиальной области бедра (например, биопсия мышцы). В сочетании с анестезией бедренного нерва блокада запирательного нерва применяется при вмешательствах в области коленного сустава с высоким разрезом по внутренней поверхности, эмболэктомии и других операциях на внутренней поверхности бедра. Блокада запирательного нерва показана как дополнение к блокаде седалищного, бедренного и бокового кожного нервов при оперативных вмешательствах на коленном суставе или выше его [15].
Главными нехирургическими показаниями для блокады запирательного нерва являются диагностика, лечение и определение прогноза у пациентов со спазмом приводящих мышц, с рассеянным склерозом, осложнениями инсульта, нейромышечными заболеваниями, а также хронический болевой синдром при артропатиях тазобедренного сустава [16, 17].
Суммарно показания к блокаде запирательного нерва представлены в табл. 1.
Таблица 1. Показания к блокаде запирательного нерва* [18]
Table 1. Indications for obturator nerve block [18]
Блокада запирательного нерва | |
Передняя ветвь | Задняя ветвь |
Ампутация выше колена Боль в медиальной части бедра Трансуретральная резекция опухоли мочевого пузыря Спазм аддуктора | Комплексная операция на колене, реконструкция передней крестообразной связки, тотальная артропластика коленного сустава Трансуретральная резекция опухоли мочевого пузыря Спазм аддуктора |
* На практике обе ветви запирательного нерва обычно блокируются вместе.
Анатомия запирательного нерва
Запирательный нерв (nervus obturatorius) образуется из передних ветвей LIΙ-LIV спинномозговых нервов и располагается позади или внутри большой поясничной мышцы, далее он выходит из-под внутреннего края этой мышцы, прободает подвздошную фасцию и проходит вниз на уровне крестцово-подвздошного сочленения, затем спускается по боковой стенке таза и через запирательный канал доходит до передней части бедра. Несколько выше канала от запирательного нерва отделяется мышечная ветвь, которая проходит через канал и разветвляется в наружной запирательной мышце, обеспечивая ротацию нижней конечности (рис. 1).
Рис. 1. Иннервация мышц запирательным нервом [24]
Fig. 1. Muscle innervation by the obturator nerve [24]
На уровне запирательного канала нерв делится на переднюю (толстую) и заднюю ветви, которые разделены волокнами запирательной мышцы. В исследовании на трупах было показано, что разветвление запирательного нерва может происходить как внутри таза (23,2%), так и в запирательном канале (51,8%) или в медиальной части бедра (25%) [19]. После расщепления передняя ветвь опускается между гребенчатой мышцей и длинной приводящей мышцей, тогда как задняя ветвь проходит между длинной и короткой приводящими мышцами.
Передняя ветвь снабжает длинную и короткую приводящие мышцы, тонкую и гребенчатую мышцы. Длинная и короткая приводящие мышцы приводят, сгибают и вращают бедро кнаружи. Иннервируемая запирательным нервом наружная запирательная мышца также вращает бедро кнаружи. Тонкая мышца приводит бедро и сгибает конечность в коленном суставе, ротируя ее внутрь. Запирательный нерв иннервирует тазобедренный и коленный суставы [20].
Задняя ветвь проходит под короткой приводящей мышцей вдоль передней поверхности большой приводящей мышцы, иннервируя наружную запирательную мышцу, короткую приводящую мышцу, а также часть большой приводящей мышцы, которая прикрепляется к шероховатой линии (приведение бедра). В ряде случаев запирательный нерв снабжает капсулу коленного сустава [21, 22].
Кожные ветви нерва иннервируют кожу медиальной поверхности бедра. Однако следует отметить, что запирательный нерв более чем в 50% случаев не обеспечивает кожную иннервацию [23].
Таким образом, запирательный нерв имеет три ветви: заднюю, переднюю и кожную. Моторные волокна запирательного нерва иннервируют наружную запирательную мышцу, длинную и короткую приводящие мышцы, часть большой приводящей мышцы, тонкую и гребенчатую мышцы, сенсорные волокна – тазобедренный и коленный суставы и кожу медиальной поверхности бедра. В целом запирательный нерв обеспечивает двигательную функцию приводящих мышц, которые, помимо приведения нижней конечности к тазобедренному суставу, играют важную роль в поддержании равновесия во время ходьбы.
Техника блокад запирательного нерва
Описаны несколько подходов для выполнения блокады запирательного нерва: с помощью анатомических ориентиров, нейростимуляции и УЗ-навигации.
Блокада запирательного нерва по Лабату
Положение больного лежа на спине. После инфильтрационной анестезии кожи на 2 см ниже и латеральнее лобкового бугорка длинной иглой 22 G проводят в дорсомедиальном направлении до контакта с нижней ветвью лобковой кости, предпосылая небольшое количество анестетика. Затем иглу несколько подтягивают и направляют вглубь под более тупым углом к фронтальной плоскости, как бы соскальзывая с кости в запирательное отверстие (рис. 2). Последующее продвижение иглы на 2–4 см вглубь иногда сопровождается возникновением парестезии. После аспирационной пробы вводят 10–15 мл раствора местного анестетика.
Рис. 2. Методика введения иглы при доступе к запирательному нерву по Лабату [25]
Fig. 2. The needle is withdrawn and redirected laterally and slightly inferiorly and advanced 1.5–2 cms beyond the previously noted depth [25]
Блокада запирательного нерва c использованием нейростимуляции [7]
Пациент находится в положении на спине с приведëнной и ротированной кнаружи нижней конечностью. На 1–2 см медиальнее проекции бедренной артерии ниже паховой складки вязки на коже наносится отметка. Пальпируют сухожилия приводящих мышц. Длинную изолированную иглу 22 G вводят ниже сухожилия примерно на 2,5–3 см от лобковой кости. Иглу направляют к отметке, сделанной ранее, на 1–2 см медиальнее от пульсации бедренной артерии сразу же ниже паховой складки в горизонтальной плоскости. Обычно нерв находится на глубине 3–6 см. После получения сокращений приводящих мышц при токе менее 0,5 мА вводят 10 мл раствора местного анестетика.
Блокада запирательного нерва c использованием УЗ-навигации
Yoshida T. et al. (2017) разделили доступы к запирательному нерву на дистальный и проксимальный [26].
Блокада передней и задней ветвей запирательного нерва (дистальный доступ)
Пациент находится в положении лежа на спине, бедро несколько отведено и ротировано кнаружи. Ультразвуковой датчик помещают в паховую складку и смещают в медиальном направлении (рис. 3) от проекции крупных сосудов бедра до тех пор, пока не будут видны гребенчатая, длинная приводящая и короткая приводящая мышцы. Передняя ветвь запирательного нерва расположена внутри этого типичного «мышечного треугольника». Задняя ветвь расположена между короткой и большой приводящими мышцами (рис. 4). Как правило, и передняя, и задняя ветви запирательного нерва выглядят как гипер-эхогенные структуры.
Рис. 3. Расположение датчика при дистальном доступе к ветвям запирательного нерва
Fig. 3. Transducer positions for performance of ultrasound-guided obturator nerve block technique
Рис. 4. Дистальный доступ к блокаде запирательного нерва с визуализацией переднего и заднего отделов запирательного нерва [18]. АОN – передняя ветвь запирательного нерва; PON – задняя ветвь запирательного нерва
Fig. 4. Distal approach the obturator nerve block with visualization of anterior and posterior divisions of the obturator nerve [18]. AON – anterior division of obturator nerve. PON – posterior division of obturator nerve
Раствор местного анестетика вводят между гребенчатой и короткой приводящей мышцами или между длинной и короткой приводящими мышцами [28, 29]. Важно, чтобы раствор местного анестетика распространялся в межфасциальном пространстве, а не в самих мышцах.
Taha А. (2012) [30] сообщил, что при введении раствора местного анестетика под контролем ультразвука между гребенчатой и наружной запирательной мышцами возможно достичь блокады как передней, так и задней ветвей запирательного нерва. Несколько позже этот факт подтвердили Yoshida T. et al. [29], которые в эксперименте на трупах показали, что краситель, введëнный между гребенчатой и наружной запирательной мышцами, распространялся ретроградно и окрашивал как ствол, так и переднюю, и заднюю ветви запирательного нерва, даже в тех случаях, когда задняя ветвь прободает наружную запирательную мышцу [19].
При выполнении блокады, помимо УЗ-навигации, целесообразно использовать нейростимулятор, поскольку в дистальном отделе имеется существенная вариабельность прохождения ветвей запирательного нерва бедра [31]. Кроме того, межфасциальная плоскость между короткой приводящей мышцей и большой мышцей расположена относительно глубже, поэтому для блокады задней ветви требуется более крутой угол введения иглы, что ухудшает еë ультразвуковую видимость [32].
Блокада запирательного нерва с использованием УЗ-навигации для достижения межфасциальной инъекции без стимуляции нерва имела успех, аналогичный тому, о котором сообщалось в исследовании с использованием нейростимуляции [31].
Блокада ствола запирательного нерва (проксимальный доступ)
В литературе описано несколько доступов для проксимальной блокады запирательного нерва [8, 29, 33], но чаще всего используется доступ Taha A. [30] в модификации Лина [27].
Положение пациента аналогично дистальному доступу. Датчик устанавливают параллельно паховой складке (рис. 5), визуализируют группу приводящих мышц, после чего наклоняют датчик краниально до тех пор, пока появится нижний край верхней ветви лобковой ветви (рис. 6).
Рис. 5. Расположение датчика параллельно паховой складке
Fig. 5. Transducer positions for performance of ultrasound-guided obturator nerve block technique
Рис. 6. Проксимальный доступ к запирательному нерву по Lin [18]. ON — запирательный нерв
Fig. 6. Proximal approach to the obturator nerve block as described by Lin [18]. ON — obturator nerve
Латеральнее верхней ветви лобковой кости видны гребенчатая и наружная запирательная мышцы. Примечательно, что верхняя ветвь лобковой кости часто совпадает с межфасциальной плоскостью между более поверхностной гребенчатой мышцей и внешней запирательной мышцей. Иглу in plane вводят латерально к медиальному направлению. Иногда запирательный нерв (гиперэхогенная тень) может быть визуализирован сразу. Несмотря на то что запирательный нерв может разделяться проксимальнее этого уровня, а задняя ветвь может проходить через наружную запирательную мышцу [26], введëнный раствор местного анестетика распространяется проксимально и блокирует обе ветви запирательного нерва [29]. При отсутствии визуализации нерва можно ввести 3–4 мл изотонического раствора хлорида натрия, что позволит идентифицировать нервный ствол.
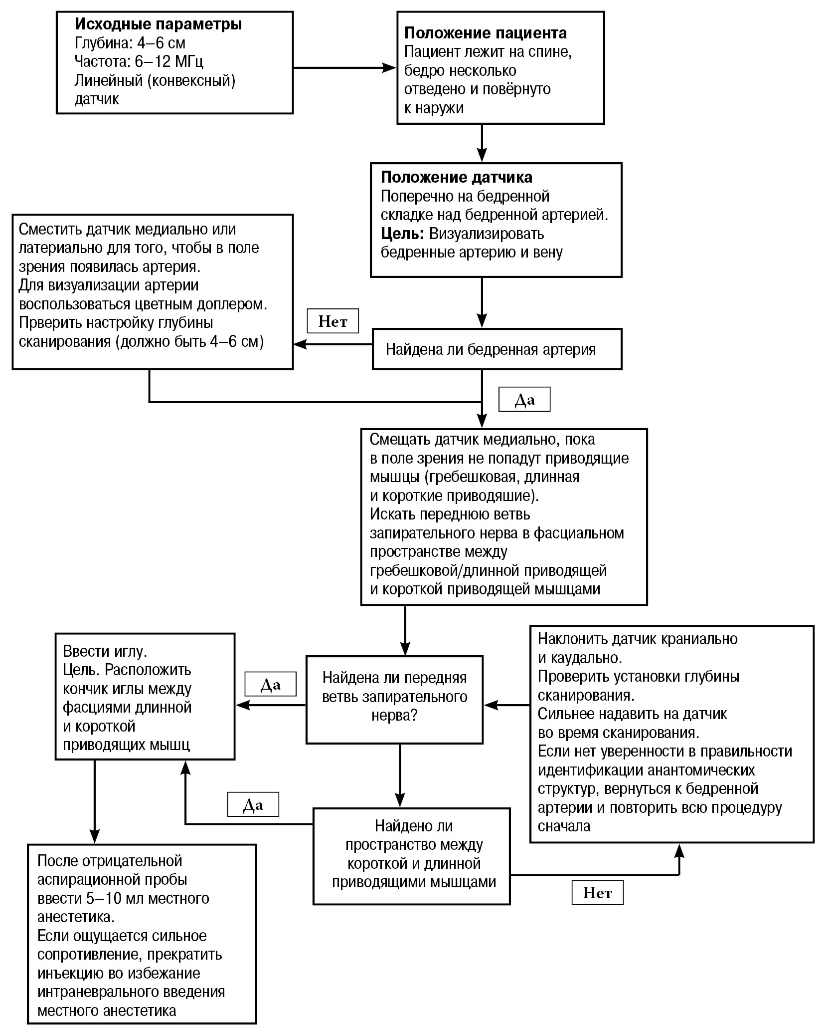
Технические особенности и алгоритм выполнения блокады запирательного нерва под контролем УЗ-навигации представлены в табл. 2 и рис. 7.
Таблица 2. Технические особенности блокады запирательного нерва под контролем УЗИ [26]
Table 2. Technical differences in ultrasound-guided obturator nerve block techniques [26]
Технические особенности | Выполнение блокады запирательного нерва | ||||
Soong J. et al. [28] | Akkaya T. et al. [33] | Taha A. [30] | Lin J.-A. et al. [27] | Yoshida T. et al. [29] | |
Ориентация датчика | In-plane | In-plane | Out-of-plane | In-plane | In-plane |
Расположение датчика | Паховая складка | Лобковая область | Паховая складка | Паховая складка | Медиальное бедро |
Наклон датчика | Не требуется | Не требуется | Необходим | Необходим | Не требуется |
УЗ-игла и угол луча | Небольшой | Небольшой | - | Небольшой | Большой |
Нейростимуляция | Нужна | Нужна | Не нужна | Не нужна | Не нужна |
Положение пациента | Лежа на спине | Лежа на спине | Лежа на спине | Лежа на спине | Литотоми- |
Рис. 7. Алгоритм блокады запирательного нерва с УЗ-навигацией [34]
Fig. 7. Algorithm the blockade of the obturator nerve with ultrasound [34]
Применение блокады запирательного нерва в клинике
Трансуретральная резекция опухоли мочевого пузыря
Частота внезапного сокращения приводящих мышц бедра вследствие электростимуляции при трансуретральной резекции опухоли, расположенной на боковой стенке мочевого пузыря, достигает 40–55% [10, 35] и связана с возможной перфорацией мочевого пузыря, экстрапузырным распространением опухоли и даже повреждением запирательной артерии [36]. По данным Taha A. M. [30] и T. Yoshida et al. [29], блокада запирательного нерва предотвращала сокращения приводящих мышц во время трансуретральной резекции опухоли в 93–100%. Для повышения надëжности в предотвращении сокращений приводящих мышц некоторые авторы используют для блокады запирательного нерва сочетание УЗ-навигации и нейростимуляции [37].
Примечательно, что в ретроспективном исследовании показано, что БЗН увеличивала среднее время до возникновения рецидива опухоли мочевого пузыря с 7,8 до 15 мес. [38].
Блокада запирательного нерва при операциях на нижней конечности
Поскольку капсула коленного сустава частично иннервируется запирательным нервом, его блокада показана при операциях на коленном суставе. Так, совместное использование блокады запирательного нерва и блокады бедренного нерва существенно улучшало анальгезию как после эндопротезирования коленного сустава [39], так и после реконструктивных операциях на передней крестообразной связке [11, 30].
Тазобедренный сустав получает сенсорную иннервацию от ветвей бедренного, запирательного, верхнего ягодичного и седалищного нервов, а также от нерва квадратной мышцы бедра, поэтому изолированная блокада запирательного нерва для обез-боливания не эффективна. В рандомизированном контролируемом исследовании показано, что комбинация блокады запирательного нерва и латерального кожного нерва бедра эффективно купировала острую боль после операции по поводу перелома бедренной кости [40].
БЗН для лечения спастичности приводящих мышц бедра
Показана эффективность нейролизиса запирательного нерва для лечения спастичности приводящих мышц бедра у пациентов после травмы спинного мозга [41]. Результаты указанного исследования подтверждены в работах [14, 17], где показано, что нейролизис запирательного нерва под контролем УЗ-навигации весьма эффективен: снижает тяжесть спастичности приводящих мышц бедра, увеличивает расстояние между коленями при пассивном отведении бедра, улучшает возможность гигиенического ухода за пациентом. В случае стойкого спазма приводящих мышц дополнительно выполняют блокаду бедренного нерва, которая блокирует дополнительные нервы запирательного нерва.
Эффективность блокады
Поскольку кожная иннервация медиальной поверхности бедра весьма вариабельна, лучшим способом подтверждения успешности блокады запирательного нерва служит не утрата кожной чувствительности на определëнном участке, а ослабление или отсутствие силы в приводящих мышцах. Следует учитывать, что приводящие мышцы на бедре могут одновременно иннервироваться бедренным нервом (гребешковая мышца) и седалищным нервом (длинная приводящая мышца). Поэтому полная утрата силы приводящих мышц, несмотря на полную блокаду запирательного нерва, наблюдается редко.
Простой способ оценки силы приводящих мышц – попросить пациента привести нижнюю конечность. Слабость или невозможность привести конечность свидетельствуют об успешности блокады запирательного нерва.
Силу приводящих мышц можно определить количественно: пациента, находящегося в положении лежа на спине, просят полностью разогнуть обе нижние конечности, между коленями устанавливают манжету сфигмоманометра, накаченную до 40 мм рт. ст. Максимальное давление, которое может вызвать пациент путëм сжатия колен, определяется как сила приводящей мышцы [42]. Считается, что снижение силы приводящих мышц более чем на 40–50% указывает на успешную блокада запирательного нерва [29].
Осложнения
Осложнения при блокаде запирательного нерва редки, тем не менее следует иметь в виду опасность непреднамеренной внутрисосудистой инъекции, поскольку эта анатомическая область обильно васкуляризирована. В литературе описан случай непреднамеренной пункции запирательной вены во время блокады запирательного нерва с УЗ-навигацией [33]. Возможно пункционное повреждение запирательной артерии.
Таким образом, для повышения успешности блокаду запирательного нерва целесообразно выполнять в условиях УЗ-навигации. Блокада запирательного нерва позволяет в хирургической практике снизить вероятность хирургических осложнений при трансуретральной резекции опухоли, расположенной на боковой стенке мочевого пузыря, улучшить анальгезию после операций на бедре и коленном суставе, в терапевтической практике – эффективно купировать спастические состояния приводящих мышц бедра.
About the authors
V. A. Koriachkin
Saint-Petersburg State Pediatric Medical University of the Ministry of Healthcare of the Russian Federation
Email: dmitriigribanov76@gmail.com
ORCID iD: 0000-0002-3400-8989
Russian Federation, Saint-Petersburg
D. V. Zabolotskii
Saint-Petersburg State Pediatric Medical University of the Ministry of Healthcare of the Russian Federation
Email: dmitriigribanov76@gmail.com
ORCID iD: 0000-0002-6127-0798
Russian Federation, Saint-Petersburg
D. V. Gribanov
St Luka Clinical Hospital
Author for correspondence.
Email: dmitriigribanov76@gmail.com
ORCID iD: 0000-0001-7034-6419
заведующий отделением анестезиологии и реанимации
Russian Federation, Saint PetersburgT. A . Antoshkova
St Luka Clinical Hospital
Email: dmitriigribanov76@gmail.com
ORCID iD: 0000-0002-9537-6523
Russian Federation, Saint Petersburg
References
- Kandarian B, Indelli PF, Sinha S, Hunter OO, Wang RR, Kim TE, Kou A, Mariano ER. Implementation of the IPACK (Infiltration between the Popliteal Artery and Capsule of the Knee) block into a multimodal analgesic pathway for total knee replacement. Korean J. Anesthesiol. 2019;72(3):238–44. doi: 10.4097/kja.d.18.00346.
- Krishna Prasad GV. Post-operative analgesia techniques after total knee arthroplasty: A narrative review. Saudi J. Anaesth. 2020;14(1):85–90. doi: 10.4103/sja.SJA_494_19.
- Deiter J, Ponzio D, Grau L, Griffiths S, Ong A, Post Z, Doucette D,Orozco F. Efficacy of adductor canal block protocol implementation in a multimodal pain management protocol for total knee arthroplasty. J. Clin. Orthop. Trauma. 2020;11(1):118–21. doi: 10.1016/j.jcot.2019.05.012.
- Tran J, Peng PWH, Lam K, Baig E, Agur AM, Gofeld M. Anatomical study of the innervation of posterior knee joint capsule: implication for image-guided intervention. Reg. Anesth. Pain Med. 2019;44(2):234–38. doi: 10.1136/rapm-2018-000015.
- Tran J, Giron Arango L, Peng P, Sinha SK, Agur A, Chan V. Evaluation of the iPACK block injectate spread: a cadaveric study. Reg. Anesth. Pain Med. 2019;44(7):689–94. doi: 10.1136/rapm-2018-100355.
- Short AJ, Barnett JJG, Gofeld M et al. Anatomic study of innervation of the anterior hip capsule: implication for image-guided intervention. Reg. Anesth. Pain Med. 2018;43(2):186–92. doi: 10.1097/AAP.0000000000000701.
- Wassef MR. Interadductor approach to obturator nerve blockade for spastic conditions of adductor thigh muscles. Reg. Anesth. 1993;18(1):13–7.
- Choquet O, Capdevila X, Bennourine K, Feugeas JL, Bringuier-Branchereau S, Manelli JC. A new inguinal approach for the obturator nerve block: anatomical and randomized clinical studies. Anesthesiology. 2005;103(6):1238–45. doi: 10.1097/00000542-200512000-00020.
- Pladzyk K, Jureczko L, Lazowski T. Over 500 obturator nerve blocks in the lithotomy position during transurethral resection of bladder tumor. Cent. European. J. Urol. 2012;65(2):67–70. doi: 10.5173/ceju.2012.02.art2.
- Bolat D, Aydogdu O, Tekgul ZT, Polat S, Yonguc T, Bozkurt IH, Sen V, Okur O. Impact of nerve stimulator-guided obturator nerve block on the short-term outcomes and complications of transurethral resection of bladder tumour: A prospective randomized controlled study. Can. Urol. Assoc. J. 2015;9(11-12): E780-4. doi: 10.5489/cuaj.3149.
- Sakura S, Hara K, Ota J, Tadenuma S. Ultrasound-guided peripheral nerve blocks for anterior cruciate ligament reconstruction: effect of obturator nerve block during and after surgery. J. Anesth. 2010;24(3):411–7. doi: 10.1007/s00540-010-0916-3.
- Wu H, Groner J. Pulsed radiofrequency treatment of articular branches of the obturator and femoral nerves for management of hip joint pain. Pain Pract. 2007;7(4):341–4. doi: 10.1111/j.1533-2500.2007.00151.x.
- Kwon JY, Kim JS. Selective blocking of the anterior branch of the obturator nerve in children with cerebral palsy. Am. J. Phys. Med. Rehabil. 2009;88(1):7–13. doi: 10.1097/PHM.0b013e31815b6381.
- Lam K, Wong D, Tam CK, Wah SH, Myint MW et al. Ultrasound and electrical stimulator-guided obturator nerve block with phenol in the treatment of hip adductor spasticity in long-term care patients: a randomized, triple blind, placebo controlled study. J. Am. Med. Dir. Assoc. 2015 Mar;16(3):238–46. doi: 10.1016/j.jamda.2014.10.005.
- Chandran R, Beh ZY, Tsai FC, Kuruppu SD, Lim JY. Peripheral nerve blocks for above knee amputation in high-risk patients. J. Anaesthesiol. Clin. Pharmacol. 2018;34(4):458–64. DOI: 10. 4103/joacp.JOACP_346_17.
- Viel EJ, Perennou D, Ripart J, Pélissier J, Eledjam JJ. Neurolytic blockade of the obturator nerve for intractable spasticity of adductor thigh muscles. Eur J Pain. 2002;6(2):97–104. doi: 10.1053/eujp.2001.0269.
- Ghai A, Sangwan SS, Hooda S, Garg N, Kundu ZS, Gupta T. Evaluation of interadductor approach in neurolytic blockade of obturator nerve in spastic patients. Saudi J Anaesth. 2013;7(4):420–6. doi: 10.4103/1658-354X.121074.
- Elmore B, Thames M. How I Do It: Obturator Nerve Block. ASRA NEWS. May 1, 2020. Available at: https://www.asra.com/asra-news/article/248/how-i-do-it-obturator-nerve-block (Access: 28 Sep 2020).
- Anagnostopoulou S, Kostopanagiotou G, Paraskeuopoulos T, Chantzi C, Lolis E, Saranteas T. Anatomic variations of the obturator nerve in the inguinal region: implications in conventional and ultrasound regional anesthesia techniques. Reg. Anesth. Pain Med. 2009;34(1):33–9. doi: 10.1097/AAP. 0b013e3181933b51.
- Prives MG, Lysenkov NK, Bushkovich VI. Human Anatomy. 12th edition. [Anatomiya cheloveka. 12-e izdaniye.]Saint Petersburg: SPbMAPO; 2017.720 p. (in Russian)
- Burckett-St Laurant D, Peng P, Girón Arango L, Niazi AU, Chan VW, Agur A, Perlas A. The Nerves of the Adductor Canal and the Innervation of the Knee: An Anatomic Study. Reg. Anesth. Pain Med. 2016;41(3):321–7. doi: 10.1097/AAP.0000000000000389.
- Bendtsen TF, Moriggl B, Chan V, Børglum J. The Optimal Analgesic Block for Total Knee Arthroplasty. Reg. Anesth. Pain Med. 2016;41(6):711–9. doi: 10.1097/AAP.0000000000000485.
- Bouaziz H, Vial F, Jochum D, Macalou D, Heck M, Meuret P, Braun M, Laxenaire MC. An evaluation of the cutaneous distribution after obturator nerve block. Anesth. Analg. 2002;94(2):445-9, table of contents. doi: 10.1097/00000539-200202000-00041.
- Rubin M, Safdieh JE. Netter’s Concise Neuroanatomy Updated Edition. Elsevier Inc., 2017. c. 424.
- Bollini CA, Sforsini C, Vascello L. Lumbar plexus block (anterior approach). Techniques in Regional Anesthesia and Pain Management. 10(4):150–8. doi: 10.1053/j.trap.2006.10.003.
- Yoshida T, Nakamoto T, Kamibayashi T. Ultrasound-guided obturator nerve block: a focused review on anatomy and updated techniques. Biomed. Res. Int. 2017. Режим доступа: https://www.hindawi.com/journals/bmri/2017/7023750/ (дата обращения 23.09.2020). doi: 10.1155/2017/7023750.
- Lin JA, Nakamoto T, Yeh SD. Ultrasound standard for obturator nerve block: the modified Taha’s approach. Br. J. Anaesth. 2015;114(2):337–9. doi: 10.1093/bja/aeu467.
- Soong J, Schafhalter-Zoppoth I, Gray AT. Sonographic imaging of the obturator nerve for regional block. Reg. Anesth. Pain Med. 2007;32(2):146–51. doi: 10.1016/j.rapm.2006.10.012.
- Yoshida T, Onishi T, Furutani K, Baba H. A new ultrasound-guided pubic approach for proximal obturator nerve block: clinical study and cadaver evaluation. Anaesthesia. 2016;71(3):291–7. doi: 10.1111/anae.13336.
- Taha AM. Brief reports: ultrasound-guided obturator nerve block: a proximal interfascial technique. Anesth. Analg. 2012;114(1):236–9. doi: 10.1213/ANE.0b013e318237fb40.
- Sinha SK, Abrams JH, Houle TT, Weller RS. Ultrasound-guided obturator nerve block: an interfascial injection approach without nerve stimulation. Reg. Anesth. Pain Med. 2009;34(3):261–4. doi: 10.1097/AAP.0b013e3181a32c4d.
- Kuligin AV, Panov VA, Lakhin RYe, Shchegolev AV, Yatsenko DV, Kotikova MN. Evaluation of the effectiveness of enhanced ultrasound imaging of needles for peripheral regional anesthesia. Saratovskiy nauchno-meditsinskiy zhurnal. 2014;10(4):612–6. (in Russ)
- Akkaya T, Ozturk E, Comert A, Ates Y, Gumus H, Ozturk H, Tekdemir I, Elhan A. Ultrasound-guided obturator nerve block: a sonoanatomic study of a new methodologic approach. Anesth. Analg. 2009;108(3):1037–41. doi: 10.1213/ane.0b013e3181966f03.
- Khadzhich A. Peripheral nerve blockages and regional anesthesia under ultrasound control. Moscow: Prakticheskaya meditsina, 2014. 688 p. (in Russ)
- Tatlisen A, Sofikerim M. Obturator nerve block and transurethral surgery for bladder cancer. Minerva Urol. Nefrol. 2007;59(2):137–41. PMID: 17571049.
- Gorgel SN, Kose O, Horsanali O, Uysal E, Ozer K, Ozbek E. External iliac vein injury during the bipolar transurethral resection of bladder tumor: a case report. J. Med. Cases. 2015;6(12):566‒7. doi: 10.14740/jmc2359w.
- Rychkov IA, Garyayev RV. Blockage of the obturator nerve under double ultrasound and neurostimulation control during transurethral resection of the side wall of the bladder. Vestnik anesteziologii i reanimatologii. 2019;16(5):12–7. doi: 10.21292/2078-5658-2019-16-5-12-17. (in Russian)
- Tekgul Z, Divrik R, Turan M, Konyalioglu E, Simsek E, Gonullu M. Impact of obturator nerve block on the short-term recurrence of superficial bladder tumors on the lateral wall. Urological Onc. 2014;11(1):1248–52. doi: 10.22037/uj.v11i1.1819.
- Macalou D, Trueck S, Meuret P, Heck M, Vial F, Ouologuem S, Capdevila X, Virion JM, Bouaziz H. Postoperative analgesia after total knee replacement: the effect of an obturator nerve block added to the femoral 3-in-1 nerve block. Anesth. Analg. 2004;99(1):251–4. doi: 10.1213/01.ane.0000121350.09915.84.
- Rashiq S, Vandermeer B, Abou-Setta AM, Beaupre LA, Jones CA, Dryden DM. Efficacy of supplemental peripheral nerve blockade for hip fracture surgery: multiple treatment comparison. Can. J. Anaesth. 2013;60(3):230–43. doi: 10.1007/s12630-012-9880-8.
- Yaşar E, Tok F, Taşkaynatan MA, Yilmaz B, Balaban B, Alaca R. The effects of phenol neurolysis of the obturator nerve on the distribution of buttock-seat interface pressure in spinal cord injury patients with hip adductor spasticity. Spinal Cord. 2010;48(11):828–31. doi: 10.1038/sc.2010.34.
- Lang SA, Yip RW, Chang PC, Gerard MA. The femoral 3-in-1 block revisited. J. Clin. Anesth. 1993;5(4):292–6. DOI: 10.1016/ 0952-8180(93)90121-t.
Supplementary files
















