Programmed intermittent epidural boluses (pieb) for labor analgesia: study of the sensor block and effects on maternal motor function
- Authors: Upryamova E.Y.1, Shifman E.M.2, Krasnopolskij V.I.1, Ovezov A.M.2
-
Affiliations:
- Moscow Regional Research Institute of Obstetrics and Gynecology
- M.F. Vladimirsky Moscow regional Research and Clinical Institute
- Issue: Vol 14, No 2 (2020)
- Pages: 63-71
- Section: Original study articles
- Submitted: 18.12.2020
- Accepted: 18.12.2020
- Published: 22.12.2020
- URL: https://rjraap.com/1993-6508/article/view/55467
- DOI: https://doi.org/10.17816/RA55467
- ID: 55467
Cite item
Abstract
Background. Programmed intermittent epidural boluses (PIEB) technique is a promising approach that demonstrates certain advantages over traditional techniques of epidural analgesia. We compared the dynamics of the sensory block of PIEB + parturient-controlled epidural analgesia (PCEA) with continuous epidural infusion (CEI) + PCEA for maintenance labor analgesia and the incidence of motor block (MB) in women who received PIEB or traditional techniques.
Methods. A total of 165 subjects were studied. All parturients were divided into five groups: manual boluses, PCEA, PCEA + CEI, PIEB + PCEA; levobupivacaine 0.25 mg/mL; 1.25 mg/mL; 0.625 mg/mL. The level of the MB was evaluated by the classic Bromage scale (0-1-2-3). The level of the sensor block was evaluated by the pin-prick test.
Results. MB was reported in 80% in group 1 120 min after analgesia, 78% and 52% in groups 2 and 3 at the 150th min (p < 0.001); in group 4, the MB frequency was 6% 15 min after the start and was increasing to 40% at full cervical dilation (p < 0.001). In group 5, the relative MB frequency did not exceed 10% at the 120th min and was 0% at full cervical dilation (p < 0.00001). The results indicate that in the PIEB group, the level of sensory block in patients was higher 15 min after the start of analgesia and remained so until the end of the observation period [median PIEB Th5 versus Th8 in the CEI group, (p < 0.0004)].
Conclusions. PIEB + PCEA technique maintained a consistently high level of sensor block throughout the study compared to PCEA + CEI, which ensured effective analgesia in the first and second stages of labor with minimal MB.
Full Text
Техника программированного интермиттирующего болюса (PIEB) для обезболивания родов демонстрирует определённые преимущества перед стандартно применяемыми вариантами эпидуральной анальгезии (ЭА). Данные литературы подтверждают, что применение эпидуральной техники PIEB обеспечивает лучшее или сопоставимое качество анальгезии на фоне снижения потребления местного анестетика и количества дополнительных болюсов; снижает частоту моторного блока (МБ) и оперативного родоразрешения, обеспечивая большую удовлетворённость у матери по сравнению с непрерывной инфузией местного анестетика [1, 2].
Целью исследования явилась сравнительная оценка динамики моторного и сенсорного блока у рожениц, обезболенных техникой PIEB и традиционными режимами эпидуральной анальгезии (болюс, PCEA, CEI + PCEA, PIEB + PCEA).
Материалы и методы
Проведено проспективное одноцентровое рандомизированное контролируемое клиническое исследование эффективности различных режимов эпидуральной анальгезии самопроизвольных родов. Для обеспечения рандомизации пациентов, прошедших критерии включения, использовался метод конвертов. Исследование эффективности различных режимов эпидуральной анальгезии родов получило одобрение Этического комитета Московского областного НИИ акушерства и гинекологии (№ 85 от 19.04.2016 г.). Все роженицы набраны в группу с письменного согласия об участии в исследовании. Основные характеристики исследуемых групп представлены в табл.1.
Таблица 1. Основные характеристики исследуемых групп
Table 1. The main characteristics of the studied groups
Характеристики | 1-я группа | 2-я группа | 3-я группа | 4-я группа | 5-я группа |
Болюсная ЭА, левобупивакаин 2,5 мг/мл, n = 35 (100%) | PCEA, левобупивакаин 1,25 мг/мл, n = 35 (100%) | PCEA + CEI, левобупивакаин 1,25 мг/мл, n = 35 (100%) | PCEA + CEI, левобупивакаин 0,625 мг/мл, n = 35 (100%) | PIEB + PCEA, левобупивакаин 0,625 мг/мл, n = 35 (100%) | |
Возраст, лет М ± σ |
31,7 ± 5,5 |
29,6 ± 4,4 |
30,5 ± 5,8 |
30,3 ± 4,9 |
30,6 ± 5,3 |
Первородящие Повторнородящие II роды III роды | 20 (57%) 15 (43%) 12 3 | 26 (74%) 9 (26%) 8 1 | 27 (77%) 8 (23%) 5 3 | 23 (66%) 12 (34%) 10 2 | 20 (57%) 15 (43%) 13 2 |
Гестационный срок, нед, М ± σ |
38,4 ± 1,4 |
39 ± 0,9 |
39 ± 0,9 |
38,5 ± 0,9 |
38,9 ± 0,8 |
Физический статус ASA II ASA III |
19 (54%) 16 (46%) |
11 (31%) 24 (69%) |
21 (60%) 14 (40%) |
11 (31%) 24 (69%) |
9 (26%) 26 (74%) |
Ранняя ЭА Поздняя ЭА | 30 (86%) 5 (14%) | 20 (57%) 15 (43%) | 30 (86%) 5 (14%) | 24 (69%) 11 (31%) | 33 (94%) 2 (6%) |
Основным критерием начала ЭА родов являлась установившаяся родовая деятельность (схватки регулярные, достаточной силы, каждые 2−3 мин) вне зависимости от степени раскрытия маточного зева. После установки эпидурального катетера роженице вводилась необходимая концентрация местного анестетика в эпидуральное пространство посредством одного из 3 режимов (PCEA, PCEA + CEI, PCEA + PIEB) с помощью инфузионного насоса Mini Rythmic Evolution производства «Микрел С.А.», Греция. Роженицы были проинструктированы о работе с инфузионным насосом, введение болюса PCEA проводилось всякий раз, когда пациентка оценивала уровень боли по ВАШ выше 40. Скорость введения болюса составляет 100 мл/ч. В случае PIEB-режима минимальное время между автоматическим болюсом (PIEB) и болюсом PCEA ограничено локаут-интервалом. В качестве местного анестетика амидного типа применяли левобупивакаин в следующих концентрациях: 2,5 мг/мл, 1,25 мг/мл, 0,625 мг/мл.
С июня 2018 по октябрь 2019 г. на базе II акушерской клиники (обсервационное отделение) МОНИИАГ 657 роженицам проведена длительная эпидуральная анальгезия родов, из которых 165 были включены в когортное исследование (рис. 1).
Рис. 1. Блок-схема участников исследования (ДЭА – длительная эпидуральная анальгезия; Болюсная ЭА – болюсная эпидуральная анальгезия, вводимая медперсоналом; PCEA – patient-controlled epidural analgesia; PCEA + CEI – patient-controlled epidural analgesia + continuous epidural analgesia; PIEB + PCEA – programmed intermittent epidural bolus + patient-controlled epidural analgesia; ЛВБКН – левобупивакаин)
Критерии включения:
– Спонтанная родовая деятельность.
– Программированные роды.
– Регулярная родовая деятельность.
– Возраст от 18−42 лет.
– ИМТ: 16−39,99.
– Гестационный срок: 37–41 нед. беременности.
– Паритет: 1-е, 2-е, 3-и роды.
– Физический статус по ASA I−III.
– Продолжительность I периода родов: 4−12 ч.
– Продолжительность II периода родов: 30 мин – 2 ч.
Критерии исключения:
– Тяжёлая преэклампсия.
– Абсолютные противопоказания для родов через естественные родовые пути.
– Самопроизвольные роды при антенатальной гибели, пороках развития плода, многоплодной беременности.
– Самопроизвольные роды с рубцом на матке.
– Отклонения от протокола (переход на другой вариант обезболивания).
– Длительная эпидуральная анальгезия с применением другого местного анестетика.
– Медикаментозное обезболивание самопроизвольных родов (парентеральное введение наркотических анальгетиков).
– Ингаляционная седоанальгезия севофлураном для обезболивания самопроизвольных родов.
– Неправильно оформленная документация.
В зависимости от режима введения и концентрации применяемого местного анестетика все роженицы были разделены на 5 групп:
1-я группа – ручные болюсы по требованию (каждые 80–90 мин) (levobupivacaine 0,25% – 10,0 мл);
2-я группа – режим PCEA, levobupivacaine 0,125% – 10,0 мл; локаут-интервал – 30 мин;
3-я группа − режим PCEA + CEI, PCEA (levobupivacaine 0,125% – 10,0 мл − 30 мин) + CEI (levobupivacaine 0,125% – 10,0 мл/ч);
4-я группа – начало: ручной болюс levobupivacaine 0,125% – 10,0 мл, затем PCEA (0,0625% − 10,0 мл – 20 мин) + CEI (0,0625% − 15 мл/ч) [3];
5-я группа – начало: ручной болюс levobupivacaine 0,125% – 10,0 мл, затем PIEB (0,0625% − 9,0 мл − 45 мин) + PCEA (0,0625% − 10,0 мл – 10 мин) [3].
Исследование динамики моторного блока по шкале Bromage
Выраженность моторного блока при проведении эпидуральной анальгезии родов определяли в баллах по классической шкале Bromage (0-1-2-3) [4].
Исследование динамики сенсорного блока
Уровень сенсорного блока оценивали с помощью теста «pin-prick», сравнивая интенсивность укола иглой, начиная от лона, двигаясь вверх по средней линии до появления болевых ощущений, одинаковых по интенсивности с уколами, наносимыми в области плеча [5].
Этапы исследования
Временные точки регистрации значений интенсивности боли по ВАШ, уровня сенсорного и моторного блока составили: перед обезболиванием, через 15 мин от начала обезболивания, затем каждые 30 мин до полного раскрытия маточного зева и регистрацией во время потуг в родильном зале.
Методы статистической обработки данных
Применялись методы описательной статистики, включающие расчёт средних значений и стандартных отклонений для переменных числового типа, а также расчёт абсолютных (n) и относительных (%) частот для категориальных переменных. Проверку гипотезы о достоверности различия средних значений между 5 группами проводили с использованием дисперсионного анализа ANOVA, последующего post-hoc анализа для попарного сравнения средних − с помощью теста Тьюки. Для сравнения распределения частот категориальных переменных между группами использовался критерий c². Уровень значимости принятия гипотезы о достоверности межгруппового различия средних или частот был принят равным 0,05. Все расчёты и графические изображения были выполнены с помощью программного обеспечения Statistica 10.0, Excel 2003 и R версии 3.6.1.
Результаты
Исследование динамики моторного блока по шкале Bromage
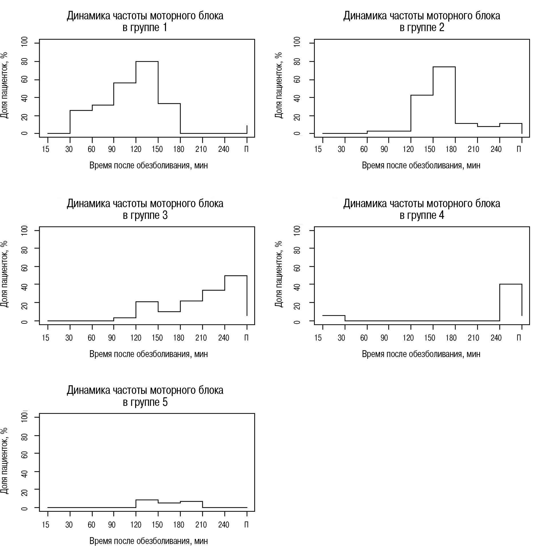
Исследование частоты МБ по шкале Bromage показало, что во всех группах на всех этапах исследования данная оценка принимала значения 0 или 1. Оценка по шкале Bromage, равная 1, была принята за наличие МБ (пациентка может поднять и удерживать согнутую в колене ногу, однако не может встать и ходить), «0» рассматривалась как его отсутствие. По истечению 6,5 ч (270 мин) от начала обезболивания количество пациенток в группах было недостаточно для статистической обработки, постольку этап «полного открытия шейки матки» у большинства включённых в исследование наступал раньше указанного временного промежутка, поэтому эти данные были исключены из исследования. Абсолютная частота МБ была равна количеству пациенток в группе, которые на конкретном этапе исследования имели 1 балл по шкале Bromage, относительная частота рассчитывалась как отношение абсолютной частоты к общему количеству пациенток в данной группе, отмеченных на данном этапе исследования. Поскольку число пациенток в группе сокращалось по мере удаления от начальной временной точки, то общее количество пациенток в каждой группе также оценивалось на каждом этапе исследования. Полученные результаты были использованы для расчёта относительной частоты МБ на каждом этапе исследования внутри каждой группы пациенток. Относительная частота МБ была введена для того, чтобы можно было корректно сравнить динамику частоты МБ между группами в течение всего периода наблюдения. В абсолютных числах это сделать нельзя, поскольку общий объём групп сокращается в процессе исследования с разной скоростью. Динамика относительной частоты МБ во всех 5 группах представлена на рис. 2.
Рис. 2. Динамика относительной частоты МБ в группах 1–5 в течение периода наблюдения и на этапе потуг (по оси абсцисс 15, 30, 60, 90, 120, 150, 180, 210, 240 – оценка частоты МБ через 15, 30, 60, 90, 120, 150, 180, 210, 240 мин от начала обезболивания соответственно; П – оценка частоты МБ на этапе потуг)
Наибольшая частота МБ наблюдалась в 1-й группе к 120-й мин и отмечена у 80% пациенток. Сходная по значению относительная частота МБ получена в группе 2 к 150-й мин. В группах 3–4 максимальная за период наблюдения относительная частота МБ достигала 40%, однако необходимо отметить, что применение более концентрированного раствора левобупивакаина (группа 3) приводило к появлению МБ уже к 90-й мин и последующему прогрессированию ко II периоду родов. Применение минимальной концентрации раствора местного анестетика при комбинированном режиме введения (группа 4) не исключало развитие МБ, однако было отмечено значительно позже, к 240-й мин. В группе 5 относительная частота МБ сохранялась на нулевой отметке до 120-й мин, а затем не превышала 10%, к 210-й мин МБ снова отсутствовал у всех пациенток.
На этапе потуг в группах 2 и 5 частота МБ была равна 0, в остальных группах она не превышала 10%, и не было получено статистически значимого различия между группами с ненулевой частотой МБ.
Сравнение динамики относительных частот между группами 4 (PCEA + CEI) и 5 (PCEA + PIEB), для обезболивания которых использовалась минимальная концентрация левобупивакаина (0,625 мг/мл), представлено на рисунке 3.
Рис. 3. Сравнение динамики относительной частоты МБ между группами 4 и 5 в течение периода наблюдения и на этапе потуг (по оси абсцисс 15, 30, 60, 90, 120, 150, 180, 210, 240 – оценка частоты МБ через 15, 30, 60, 90, 120, 150, 180, 210, 240 мин от начала обезболивания соответственно; П – оценка частоты МБ на этапе потуг)
На рисунке 3 видно, что динамика относительной частоты МБ в группах 4 и 5 различна. К 15-й мин после обезболивания частота МБ в группе 4 составляет примерно 6%, тогда как в группе 5 она равна 0 вплоть до 120-й мин. Далее от 120-й до 210-й мин частота МБ в группе 5 не превышает 10%, а частота МБ в группе 4 остаëтся на 0 от 30-й до 240-й мин. К 240-й мин частота МБ в группе 4 возрастает до 40%, тогда как в группе 5 она по-прежнему остаëтся нулевой. Однако в точках измерения от 210 до 240 (270) мин число пациенток, оставшихся в группах, значительно сокращается, поэтому провести надëжные статистические расчëты с проверкой статистических гипотез не представляется возможным. На этапе потуг почти 6% пациенток группы 4 отмечали наличие МБ, тогда как в группе 5 таковых не было.
Исследование динамики уровня сенсорного блока
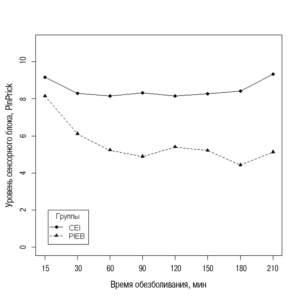
Особый интерес представляло сравнительное исследование динамики сенсорного блока между 4 (PCEA + CEI) и 5 (PCEA + PIEB) группами, использующими в качестве основного раствора для обезболивания минимальную концентрацию левобупивакаина (0,625 мг/мл). Наблюдение проводилось в течение 240 мин с начала обезболивания, а также на этапе полного раскрытия маточного зева.
Полученные результаты (рис. 4) указывают, что в группе PIEB уровень сенсорного блока у пациенток был статистически значимо выше уже через 15 мин после начала обезболивания (р < 0,0004) и оставался таковым до конца периода наблюдения, включая этап полного раскрытия шейки матки. Различия средних значений уровней сенсорного блока между указанными группами в каждой точке регистрации были статистически значимыми (р < 0,00001).
Рис. 4. Сравнение динамики средних значений уровня сенсорного блока между группами CEI и PIEB за весь период наблюдения (по оси абсцисс 15, 30, 60, 90, 120, 150, 180, 210, 240 – оценка МБ через 15, 30, 60, 90, 120, 150, 180, 210, 240 мин от начала обезболивания соответственно; П – оценка МБ на этапе потуг)
На рис. 4 графически отражены тренды динамики средних значений уровня сенсорного блока обеих исследуемых групп. Отчётливо видно, что существенное различие средних не только сохраняется на протяжении всего периода наблюдения, но также увеличивается по мере увеличения времени, прошедшего с начала обезболивания.
Графики динамики распределений уровня сенсорного блока в группе CEI и PIEB (рис. 5) показывают, что начиная со 120-й мин значения сенсорного блока у пациенток в группе CEI не поднимались выше уровня Th7, тогда как в группе PEIB они не опускались ниже указанного уровня в этих же временных точках.
Рис. 5. Сравнение динамики распределений уровня сенсорного блока между группами CEI и PIEB за весь период наблюдения (по оси абсцисс 15, 30, 60, 90, 120, 150, 180, 210, – оценка МБ через 15, 30, 60, 90, 120, 150, 180, 210 мин от начала обезболивания соответственно)
В целом распределение оценок уровня сенсорного блока у пациенток группы CEI было очень стабильным на протяжении всего периода наблюдения. Начиная с 30-й мин от начала обезболивания, медиана оставалась равной Th8 вплоть до 180-й мин и в целом достигала уровня, равного Th9 только на 15-й и на 210-й мин после обезболивания (рис. 5). Однако медиана уровня сенсорного блока в группе PIEB стремительно поднималась с 15-й по 60-ю мин с уровня Th8 до Th5, а затем то увеличивалась, то уменьшалась на протяжении всего периода наблюдения. Наиболее высокие значения уровня сенсорного блока, равные Th4, наблюдались у половины пациенток группы PIEB к 180-й мин, тогда как в этой временной точке у всех пациенток группы CEI уровень сенсорного блока был не выше Th8 (рис. 5).
На этапе полного раскрытия шейки матки интервалы распределения оценок уровня сенсорного блока в группах CEI и PIEB полностью расходятся (р < 0,00001; рис. 6). На данном этапе в группе CEI нет ни одной пациентки с уровнем сенсорного блока выше Th7, тогда как в группе PIEB у всех пациенток зарегистрированы значения уровня сенсорного блока Th7 и выше, и нет ни одной с оценкой ниже Th7. Медиана и пик частоты оценок уровня сенсорного блока в группе CEI находятся на уровне Th9, тогда как эти же статистики в группе PIEB равны 6Th (рис. 6).
Рис. 6. Сравнение уровней сенсорного блока на этапе полного раскрытия между группами CEI и PIEB
Обсуждение
Динамика частоты моторного блока
Полученные результаты нашего исследования показали, что режим PIEB + PCEA в сочетании с минимальной концентрацией левобупивакаина приводил к наименьшей частоте МБ во время I периода родов, при полном раскрытии шейки матки и во время потуг по сравнению со стандартно применяемыми режимами ЭА.
Применение высоких концентраций левобупивакаина (2,5 мг/мл, 1,25 мг/мл) неизбежно сопровождалось высокой частотой развития моторного блока в 1-й и 2-й группах. Его развитие способствовало удлинению периода изгнания в указанных группах, что диктовало необходимость прекращения ЭА на этапе полного раскрытия шейки матки. Соответственно, уровень МБ на этапе потуг стремился к 0. Однако такой уровень МБ сопровождался неадекватным обезболиванием или полным его отсутствием. Схожая тенденция отмечена в группе 3, для обезболивания в которой применялся комбинированный режим PCEA + CEI с левобупивакаином 1,25 мг/мл. Использование минимальной концентрации местного анестетика в сочетании с комбинированными техниками ЭА родов (4-я и 5-я группы) является наиболее оправданной стратегией на сегодняшний день [6, 7]. Несмотря на это методика постоянной эпидуральной инфузии неизбежно сопровождается увеличением почасового потребления местного анестетика даже при его минимальной концентрации, что и приводит к развитию МБ. Это было подтверждено в нашем исследовании в группе 4. Преимущество техники PIEB + PCEA (группа 5) заключалось в регулярном введении как основных доз местного анестетика, так и периодических болюсов, обеспечивающем более эффективную анальгезию с меньшей частотой развития МБ (не более 10%) как в I, так и II периодах родов по сравнению с продлëнной эпидуральной инфузией. Полученные результаты исследования хорошо согласуются с данными метаанализов [8–10], демонстрируя снижение частоты МБ, возможность вертикализации рожениц и способность передвигаться в течение родов. Указанные преимущества (PIEB) объясняются введением большого объëма местного анестетика и давлением, возникающим в эпидуральном пространстве за счëт высокой скорости (более 100 мл/ч в зависимости от настроек помпы). Результатом этого являются более равномерная диффузия и широкое внутриэпидуральное распространение местного анестетика со снижением его интраневральной концентрации, достаточной для блокирования тонких сенсорных волокон [11]. В случае непрерывной инфузии, как правило, экстраневральная концентрация поддерживается постоянно и превышает интраневральную, в результате чего суммарная внутриневральная концентрация прогрессивно увеличивается с течением времени и может достигать порогового значения для развития МБ, даже при применении низких концентраций местных анестетиков [12]. Этот интересный феномен и объясняет развитие в 40% МБ у пациенток 4-й группы к 240-й мин, несмотря на применение минимальной концентрации местного анестетика.
Динамика уровня сенсорного блока
Результаты нашего исследования динамики сенсорного блока в комбинированных группах (4-я и 5-я) наглядно демонстрируют достоверные различия на всех этапах исследования за счëт более высокой скорости введения местного анестетика и полностью согласуются с данными других авторов: верхний уровень сенсорного блока был значимо выше в группе PIEB (медиана PIEB Th5 против Th8 в группе CEI), при этом за счëт комбинации с режимом PCEA c относительно коротким локаут-интервалом (10 мин), уровень сенсорного блока поддерживался стабильно высоким на протяжении всего исследования, что и обеспечило эффективную анальгезию в I и II периодах родов (рис. 5, 6). Согласно данным, представленным Ueda K. с соавт, техника последовательных эпидуральных болюсов обеспечивала более высокий эпидуральный блок по сравнению с эквивалентной дозой, вводимой в виде непрерывной инфузии. Среднее количество заблокированных сегментов составило 19,5 (диапазон 18–24) в группе PIEB и 11,5 (диапазон 10–18) в группе CEI (р < 0,001) [13]. Аналогичные результаты приводят также Kaynar A.M. и соавт. (1999 г.) указывая, что скорость введения препарата значимо влияет на зону его распространения [14].
Необходимо подчеркнуть, что осложнений обезболивания в виде эпизодов нестабильной гемодинамики и потребности в введении вазопрессоров для коррекции артериальной гипотонии отмечено не было.
Заключение
Таким образом, комбинированный режим эпидуральной анальгезии PIEB + PCEA показал наибольшую эффективность обезболивания самопроизвольных родов с минимальным риском развития МБ в I и II периодах родов и является более предпочтительным методом по сравнению с непрерывной эпидуральной инфузией. Режим PIEB + PCEA в сочетании с минимальной концентрацией левобупивакаина может быть рекомендован в качестве базовой методики для обезболивания самопроизвольных родов.
Список сокращений:
– ЭА – эпидуральная анальгезия;
– PCEA – пациент-контролируемая эпидуральная анальгезия;
– PCEA + CEI (patient-controlled epidural analgesia + continuous epidural analgesia) – пациент-контролируемая эпидуральная анальгезия в комбинации с постоянной эпидуральной инфузией;
– PIEB − программированный интермиттирующий эпидуральный болюс;
– PIEB + PCEA (programmed intermittent epidural bolus + patient-controlled epidural analgesia) − программированный интермиттирующий эпидуральный болюс в комбинации с пациент-контролируемой эпидуральной анальгезией;
– ВАШ – визуально-аналоговая шкала.
Вклад авторов статьи: Концепция и дизайн исследования − Шифман Е.М., Упрямова Е.Ю. Сбор и обработка материала − Упрямова Е.Ю. Написание текста − Упрямова Е.Ю. Редактирование − Шифман Е.М., Овезов А.М., Краснопольский В.И.
About the authors
Ekaterina Y. Upryamova
Moscow Regional Research Institute of Obstetrics and Gynecology
Author for correspondence.
Email: katerinaupryamova@gmail.com
ORCID iD: 0000-0002-7057-2149
MD, PhD, Head of Anesthesiology and Critical Care Department
Russian Federation, 101000, Moscow,E. M. Shifman
M.F. Vladimirsky Moscow regional Research and Clinical Institute
Email: katerinaupryamova@gmail.com
ORCID iD: 0000-0002-6113-8498
Russian Federation, 129110, Moscow
V. I. Krasnopolskij
Moscow Regional Research Institute of Obstetrics and Gynecology
Email: katerinaupryamova@gmail.com
Russian Federation, 101000, Moscow
A. M. Ovezov
M.F. Vladimirsky Moscow regional Research and Clinical Institute
Email: katerinaupryamova@gmail.com
ORCID iD: 0000-0001-7629-6280
Russian Federation, 129110, Moscow
References
- Upryamova E.Yu., Shifman E.M., Krasnopol’skij V.I., Ove- zov A.M. Programmed Intermittent Epidural Boluses (PIEB) for labor pain relief. Anesteziologiya i reanimatologiya. 2020;4:68-76. doi: 10.17116/anaesthesiology202004169. (in Russ.)
- Xu J., Zhou J., Xiao H., Pan S., Liu J., Shang Y., Yao S. A Systematic Review and Meta-Analysis Comparing Programmed Intermittent Bolus and Continuous Infusion as the Background Infusion for Parturient-Controlled Epidural Analgesia. Sci Rep. 2019;22;9(1):2583. doi: 10.1038/s41598-019-39248-5.
- Carvalho B., George R.B., Cobb B., McKenzie C., Riley E.T. Implementation of Programmed Intermittent Epidural Bolus for the Maintenance of Labor Analgesia. Anesth Analg. 2016;123(4):965-71. doi: 10.1213/ANE.0000000000001407.
- Neuroaxial methods of labor pain relief. Clinical guidelines (treatment protocol). Approved by the Ministry of Health of the Russian Federation No. 15-4/10/2-6914; 2018. (in Russ.)
- Curatolo M., Petersen-Felix S., Arendt-Nielsen L. Assessment of regional analgesia in clinical practice and research. Br Med Bull. 2005;31;71:61-76. doi: 10.1093/bmb/ldh035.
- Wang T., Shen S., Shao-Qiang H. Effects of Epidural Labor Analgesia With Low Concentrations of Local Anesthetics on Obstetric Outcomes. Anesth Analg. 2017;124(5):1571-80. doi: 10.1213/ANE.0000000000001709.
- Sultan P., Murphy C., Halpern S., Carvalho B. The effect of low concentrations versus high concentrations of local anesthetics for labour analgesia on obstetric and anesthetic outcomes. Can J Anaesth. 2013;60:840-54. doi: 10.1007/s12630-013-9981-z.
- Barbé A., Roofthooft E., Devroe S., Van de Velde M. Programmed intermittent epidural boluses (PIEB) in labor analgesia: a narrative review of the present. Acta Anaesth. Belg. 2019;70:11-21.
- Xu J., Zhou J., Xiao H., Pan S., Liu J., Shang Y., Yao S. A Systematic Review and Meta-Analysis Comparing Programmed Intermittent Bolus and Continuous Infusion as the Background Infusion for Parturient-Controlled Epidural Analgesia. Sci Rep. 2019;22;9(1):2583. doi: 10.1038/s41598-019-39248-5.
- Gabriel L., Young J., Hoesli I., Girard T., Dell-Kuster S. Generalisability of randomised trials of the programmed intermittent epidural bolus technique for maintenance of labour analgesia: a prospective single centre cohort study. British Journal of Anaesthesia. 2019;123(2):e434-e441. DOI: https://doi.org/10.1016/j.bja.2019.02.016.
- Hogan Q. Distribution of solution in the epidural space: examination by cryomicrotome section. Reg Anesth Pain Med. 2002;27(2):150-6.
- Capogna G. Maintenance of labor analgesia. In: Epidural Labor Analgesia: Childbirth Without Pain. Switserland. Springer. 2015;89-101.
- Kenichi Ueda, Wasa Ueda, Masanobu Manabe. A Comparative Study of Sequential Epidural Bolus Technique and Continuous Epidural Infusion. Anesthesiology. 2005;103(1):126-9. doi: 10.1097/00000542-200507000-00019
- Kaynar A.M., Shankar K.B. Epidural infusion: continuous or bolus? Anesth. Analg. 1999;89(2):534.
Supplementary files














