Comparative analysis of the paravertebral block and epidural anesthesia in the complex of anesthetic support for laparoscopic kidney surgery: open randomized clinical study
- Authors: Lapkina I.V.1, Ovechkin A.M.1, Alekseeva T.M.1, Kozlov V.V.1, Bezrukov E.A.1, Slusarenko R.I.1
-
Affiliations:
- Sechenov First Moscow State Medical University (Sechenov University)
- Issue: Vol 17, No 1 (2023)
- Pages: 25-38
- Section: Original study articles
- Submitted: 10.02.2023
- Accepted: 13.03.2023
- Published: 19.04.2023
- URL: https://rjraap.com/1993-6508/article/view/217696
- DOI: https://doi.org/10.17816/RA217696
- ID: 217696
Cite item
Abstract
BACKGROUND: Laparoscopic kidney surgery is performed mostly under general anesthesia. Regional techniques, primarily epidural anesthesia / analgesia (EA), help improve the surgical results. However, EA is often accompanied by several complications and side effects. The thoracic paravertebral block (PVB) is considered a reasonable and effective alternative.
OBJECTIVE: To conduct a comparative analysis of the effectiveness of general anesthesia (GA) + PVB, GA alone, and GA + EA in laparoscopic kidney surgery.
MATERIALS AND METHODS: An open-label randomized clinical study enrolled 180 patients who underwent laparoscopic kidney surgery. By using an online tool (https//www resource.studyrandomizer.com), the patients were divided into three groups in a 1:1:1 ratio. Group 1 (n=60) underwent surgery under GA + PVB, group 2 (n=60) under GA, and group 3 under GA + EA. In each group, the intra-, and postoperative need for opioids, pain intensity on a visual analog scale (VAS) 1, 6, 12, and 24 h after surgery, and activation time were assessed. The results of the groups were compared. The frequency and nature of complications when performing and working with PVB were studied.
RESULTS: The intraoperative need for opioids was greater in the GA group and comparable in the GA + PVB and GA + EA groups (p=0.137). The postoperative pain in the PVB group remained consistently low (VAS score ≈2 points) during the observation period. In the GA group, it reached ≈5 points after 1, 6, and 12 h and ≈4 points 24 h after the surgery; in the EA group, it was ≈4 points (1, 6, and 12 h) and ≈3 points 24 h after the surgery. The prolonged PVB in the postoperative period significantly lowered the opioid need (p=0.045) and contributed to earlier activation of the patients (p=0.001). Under ultrasound control, PVB is safe, and effective.
CONCLUSION: The study showed that PVB in the complex of anesthetic support for kidney surgery provides an effective and safe anesthesia / analgesia and can be used as an alternative to EA.
Full Text
ВВЕДЕНИЕ
Большинство операций на почках в настоящее время выполняют лапароскопически. Однако единого мнения относительно оптимального метода анестезии при операциях данного типа не существует. Самой распространённой методикой является общая анестезия (ОА) на основе внутривенных или же ингаляционных анестетиков. При всех преимуществах ОА, а именно высокой управляемости и возможности раннего пробуждения, метод имеет ряд недостатков, основным из которых является необходимость использования опиоидов в послеоперационном периоде, что так или иначе приводит к ряду нежелательных последствий или даже осложнений. В связи с этим достаточно популярным стало включение методов регионарной анестезии, чаще всего эпидуральной (ЭА), в комплекс анестезиологического обеспечения. Известный метаанализ А. Rodgers и соавт., выполненный в 2000 году и включавший 141 исследование (9559 пациентов), показал, что использование методов регионарной анестезии / аналгезии, особенно ЭА, приводит к снижению частоты послеоперационных жизнеугрожающих осложнений и, как следствие, снижению 30-суточной летальности на 1/3 [1, 2].
В то же время при проведении ЭА возможно возникновение ряда осложнений и нежелательных явлений, обусловленных двусторонним фармакологическим симпатолизисом, сопровождающимся соответствующими гемодинамическими реакциями, избыточным моторным блоком, а также неврологическим осложнениями (травма спинномозгового корешка, эпидуральная гематома, инфекционные осложнения) [3, 4]. Это и послужило основанием для поиска альтернативного метода анестезии / аналгезии, отвечающего требованиям эффективности и безопасности.
В настоящее время в мировой и отечественной литературе имеется достаточное число публикаций, посвящённых применению метода паравертебральной блокады (ПВБ) как в сочетании с ОА, так и в качестве самостоятельного метода послеоперационного обезболивания, прежде всего, в торакальной хирургии, хирургии молочной железы, в абдоминальной хирургии [5–10].
При урологических операциях метод ОА, сочетанной с ПВБ, представлен в ряде исследований [11–15]. Однако в них в основном рассмотрены открытые оперативные вмешательства на почках и чрескожные нефролитотрипсии (ЧНЛТ). E. Elbealy и соавт., сравнивая эффективность и безопасность ОА, ОА + ЭА и ОА + ПВБ при ЧНЛТ, пришли к выводу, что включение ПВБ в комплекс анестезиологического обеспечения характеризуется наименьшей интенсивностью болевого синдрома и самой низкой потребностью в опиоидах в послеоперационном периоде [16]. P.H. Moawad и соавт. в проспективном рандомизированном исследовании 2013 года сравнивали эффективность ОА + ПВБ с ОА + ЭА при условии однократного введения раствора местного анестетика (0,5% бупивакаин в дозе 1,5 мг/кг) при выполнении открытой нефрэктомии, пиелолитотомии, пиелопластики [17]. В ходе исследования получены статистически значимые различия при оценке гемодинамических параметров в пользу группы ПВБ, в то время как интенсивность болевого синдрома в послеоперационном периоде в группах была сопоставимой.
В 2017 году S. Gautam и соавт. в проспективном рандомизированном исследовании сравнили эффективность сочетания ОА + ПВБ с ОА + ЭА при открытой нефрэктомии [18]. При анализе интенсивности боли по визуальной аналоговой шкале (ВАШ), гемодинамики, выраженности моторного блока по шкале Bromage различий между исследуемыми группами авторами не получено (p >0,05). При лапароскопической холецистэктомии преимущество применения ПВБ в сочетании с ОА представлено в ряде исследований [19, 20]. Растущий интерес к методам регионарной анестезии, в частности к ПВБ, послужил поводом для её исследования в качестве компонента анестезии и при лапароскопических операциях в урологии. T. Tang и соавт. в исследовании, опубликованном в 2022 году, провели сравнительный анализ эффективности ОА + ПВБ с группой «чистой» ОА у пациентов, перенёсших лапароскопическую нефрэктомию [21]. При исходной сопоставимости обеих групп гемодинамические показатели в группе ПВБ в периоперационном периоде отличались большей стабильностью (p <0,01) в сравнении с группой ОА. Интенсивность боли по ВАШ в движении и покое в течение 48 ч после операции в группе ПВБ была статистически значимо ниже (p <0,001). Авторы пришли к выводу, что сочетание ОА с ПВБ значительно уменьшало послеоперационную боль и выраженность стресс-ответа. Однако подобных исследований на сегодняшний день критически мало. Перечисленные факты определили актуальность нашего исследования.
Цель исследования — провести сравнительный анализ эффективности ОА, ОА, сочетанной с ПВБ (ОА + ПВБ), с ОА и ОА, сочетанной с ЭА анестезией (ОА + ЭА) при лапароскопических операциях на почках.
МАТЕРИАЛЫ И МЕТОДЫ
Дизайн исследования
Проведено открытое одноцентровое рандомизированное клиническое исследование. Рандомизация осуществлялась с использованием ресурса Study Randomizer (Software Application, 2017; режим доступа: https://www.studyrandomizer.com). Метод рандомизации — блочный, пациенты были распределены на группы в соотношении 1:1:1.
Критерии соответствия
Перед оперативным вмешательством пациенты были оценены на предмет возможности участия в исследовании. Для этого были разработаны следующие критерии.
Критерии включения
- возраст старше 18 лет;
- физический статус пациентов по классификации Американского общества анестезиологов ASA <IV, т.е. ASA I–III;
- планируется лапароскопическая хирургия почки.
Критерии невключения:
- экстренная хирургия;
- выраженная деформация позвоночного столба;
- коагулопатия;
- аллергия на местные анестетики;
- хроническая болезнь почек.
Критерии исключения:
- отказ пациента от участия в исследовании;
- конверсия лапароскопической операции в открытую;
- массивная кровопотеря;
- острое повреждение почек.
Условия проведения
Исследование проведено на базе отделения анестезиологии и реанимации с палатами реанимации и интенсивной терапии № 2 Клиники урологии им. Р.М. Фронштейна Университетской клинической больницы № 2 Первого МГМУ им. И.М. Сеченова Минздрава России (Сеченовский Университет).
Продолжительность исследования
Исследование было запланировано на 2021–2022 год и включало интраоперационный период (с оценкой потребности в фентаниле) и первые 24 ч послеоперационного периода.
Описание медицинского вмешательства
Предоперационную подготовку осуществляли с участием смежных специалистов (кардиологов, пульмонологов, эндокринологов, сосудистых хирургов), анестезиологом пациенты осмотрены минимум дважды. Всем пациентам выполнено клинико-инструментальное обследование согласно внутреннему протоколу подразделения. Премедикация накануне операции включала назначение бензодиазепинов. За 30–40 мин до операции внутримышечно вводили 50 мг кетопрофена. Индукция ОА: пропофол (1,0–2,5 мг/кг), фентанил (2–4 мкг/кг), рокурониум бромид (0,6 мг/кг). Поддержание анестезии: севофлуран (1–1,5 минимальной альвеолярной концентрации, МАК), фентанил, миорелаксация — рокурониум (0,3 мг/кг). Искусственная вентиляция лёгких — в режиме контроля по объёму, с параметрами: FiO2 40–60%, дыхательный объём 6–8 мл/кг, минутный объём дыхания — 80–120 мл/кг в мин, положительное давление конца выдоха в диапазоне от +4 до +6 см вод.ст. Инфузионная терапия проводилась сбалансированными кристаллоидными растворами. Интраоперационный мониторинг гемодинамики включал неинвазивный контроль артериального давления, частоты сердечных сокращений, электрокардиографию в 3 отведениях, а также контроль адекватности искусственной вентиляции лёгких (пульсоксиметрия, капнография) и содержания ингаляционного анестетика в смеси вдох / выдох.
ПВБ в группе 1 выполняли на стороне операции в условиях ОА в положении пациента лёжа на боку с использованием линейного датчика аппарата экспертного класса «Mindray UMT-400» с рабочей частотой 6–10 Мгц (Medeq, Китай). Датчик выводили в «косое» положение, что позволяло визуализировать плевру, ограничивающую паравертебральное пространство (ПВП) спереди, рёберно-позвоночную связку, ограничивающую его сзади, и медиально-рёберно-позвоночное сочленение. ПВП представлялось в форме гипоэхогенного треугольника. Для пункции и катетеризации ПВП использовали набор для продлённой ЭА B. Braun. Пункцию осуществляли на уровне ThVII–ThVIII. Правильное положение иглы определялось характерным вентральным смещением плевры. На рис. 1 представлена ультразвуковая (УЗ) картина верификации и пункции ПВП.
Рис. 1. Ультразвуковая картина верификации и пункции паравертебрального пространства. Примечание. 1 — тень остистого отростка позвонка, 2 — поперечный отросток, 3 — рёберно-позвоночное сочленение, 4 — париетальная плевра, 5 — рёберно-позвоночное сочленение, 6 — паравертебральное пространство, 7 — игла по продольной оси сканирования, 8 — вентральное движение плевры. / Fig. 1. Ultrasound picture of paravertebral space verification and puncture. Note. 1 — the shadow of the spinous process of the vertebra, 2 — transverse process, 3 — costal-vertebral articulation, 4 — parietal pleura, 5 — costal-vertebral articulation, 6 — paravertebral space, 7 — needle along the longitudinal axis of scanning, 8 — ventral pleural movement.
При отрицательной аспирационной пробе на наличие воздуха / крови вводили нагрузочную, болюсную дозу раствора местного анестетика — 0,375% ропивакаина (15–20 мл), устанавливали катетер в ПВП. Повторное введение раствора местного анестетика осуществлялось через 30–40 мин и составляло 1/2 от первоначальной дозы, выполнялось также болюсно, что связано с анатомией ПВП, а именно: ПВП довольно широкое и не ограниченное в краниальном и каудальном направлении, в связи с чем постоянная инфузия с использованием инфузомата способствовала бы медленному распределению анестетика на несколько сегментов выше и ниже места пункции, а также по межрёберному пространству, что не позволило бы обеспечить достаточную концентрацию местного анестетика, необходимую для достижения желаемого уровня анестезии в конкретной требуемой зоне — зоне оперативного вмешательства. В послеоперационном периоде в ПВП продолжали введение раствора 0,375% ропивакаина (10–15 мл) каждые 4–6 ч.
В группе 3 (ОА + ЭА) пункцию эпидурального пространства выполняли по стандартной методике, в положении пациента сидя, на уровне ThIX–ThVIII. При отрицательной аспирационной пробе катетер проводили в краниальном направлении на 4–6 см. После введения тест-дозы 1% лидокаина (60 мг) выполняли болюсное дробное введение 0,375% ропивакаина по 6–8 мл. От непрерывной инфузии раствора местного анестетика было решено воздержаться во избежание выраженных гемодинамических реакций и повышения вероятности развития моторного блока, что позволило, в свою очередь, детальнее сопоставить группы сочетанной анестезии (ОА + ПВБ и ОА + ЭА).
Эпидуральную аналгезию в отделении реанимации и интенсивной терапии (ОРИТ) осуществляли болюсным введением 0,375% ропивакаина (по 8 мл каждые 4 ч). Пациенты всех групп в послеоперационном периоде получали внутримышечно комбинацию кетопрофена (50 мг) и спазмолитика дротаверина (40 мг) дважды в сутки. Во всех группах осуществляли стандартный послеоперационный мониторинг гемодинамики (артериальное давление, частота сердечных сокращений, электрокардиография), дыхания, гидробаланса, лабораторный контроль, оценку интенсивности болевого синдрома. Последний оценивали с использованием 10-балльной визуальной аналоговой шкалы (ВАШ), контроль осуществляли через 1, 6, 12 и 24 ч после операции. В случае прорывной боли, превышающей 4 балла по ВАШ, дополнительно назначали опиоидный анальгетик тримепередин (внутримышечно, в дозе 20 мг). Для объективности и исключения предвзятости оценку интенсивности болевого синдрома в ОРИТ выполнял врач-реаниматолог, в отделении урологии — лечащий врач-уролог, не участвующие в исследовании. Все полученные в ходе наблюдения за пациентом данные вносили в специально разработанный и утверждённый Локальным этическим комитетом протокол.
Основной и дополнительные исходы исследования
В ходе исследования проводилась оценка следующих параметров.
- Первичная конечная точка — количество фентанила в мкг/кг в мин, затраченного интраоперационно для достижения адекватной анестезии.
- Вторичные конечные точки:
- балл по ВАШ в покое в каждой из 3 групп через 1, 6, 12, и 24 ч после операции;
- необходимость и частота использования наркотического анальгетика в 1-е сут после операции в каждой из групп;
- время активизации пациентов в исследуемой и контрольных группах;
- частота осложнений, возникающих при установке и работе ПВБ.
Методы регистрации исходов
В послеоперационном периоде осуществляли контроль интенсивности болевого синдрома по ВАШ через 1, 6, 12 и 24 ч после операции, оценивали потребность в тримепередине в течение 1-х сут после операции, время активизации пациентов.
Анализ в подгруппах
В исследовании вошли 186 пациентов, из которых 180, соответствующие критериям включения, прошли все этапы исследования. Всем пациентам были разъяснены цели, задачи исследования, а также подробно описаны методы анестезии. Пациентов разделили на 3 группы:
- группа 1 (ОА + ПВБ, n=60) — пациенты, которым выполняли лапароскопическую операцию на почке в условиях ОА, сочетанной с ПВБ — исследуемая группа;
- группа 2 (ОА, n=60) — пациенты, которым выполняли лапароскопическую операцию на почке в условиях только ОА — контрольная группа;
- группа 3 (ОА + ЭА, n=60) — пациенты, которым выполняли лапароскопическую операцию на почке в условиях ОА, сочетанной с ЭА — контрольная группа.
Для оценки частоты и характера осложнений, динамики их развития по мере внедрения и активного использования методики ПВБ группа ПВБ (n=60) была разделена на 3 подгруппы по 20 человек.
Полученные данные пациентов в каждой из групп были анонимизированы и внесены в электронную защищённую базу.
Этическая экспертиза
Проведение исследования одобрено Локальным этическим комитетом Первого МГМУ им. И.М. Сеченова (Сеченовский Университет), выписка из протокола № 01-22 от 20.01.22. После подписания разработанной нами и утверждённой этическим комитетом формы добровольного информированного согласия, пациенты были рандомизированы в одну из перечисленных групп.
Статистический анализ
Принципы расчёта размера выборки.
Необходимый размер выборки рассчитывали по формуле Лера. Согласно формуле, для уровня мощности 80٪ и двустороннего уровня статистической значимости <0,05 при сравнении двух групп, требуемый размер выборки в каждой группе равен:
,
где δ — предварительная оценка величины эффекта (наименьшая клинически значимая разность средних значений показателя), σ — принятое стандартное отклонение наблюдений, одинаковое в каждой из сравниваемых групп.
При этом общее для двух сравниваемых групп стандартное отклонение определяли по формуле:
,
где σ1 — среднеквадратическое отклонение, полученное в 1-й группе; σ2 — среднеквадратическое отклонение, полученное во 2-й группе; N1 — число наблюдений в 1-й группе; N2 — число наблюдений во 2-й группе.
Методы статистического анализа данных
Статистическая обработка полученных данных выполнена при помощи программы SPSS v. 22.0 (IBM, США). Для описания количественных данных в зависимости от характера распределения переменных использованы среднее арифметическое (М) и стандартное отклонение (σ), а также медиана (Ме) и квартили (Q25; Q75). Проверка характера распределения значений количественных переменных в группах наблюдения проведена с применением критерия Шапиро–Уилка. При подтверждении нормального распределения количественных переменных проверку статистической значимости различий между группами проводили посредством дисперсионного анализа при множественных сравнениях и t-критерия Стьюдента для независимых выборок — при парных сравнениях. Для межгрупповых сравнений количественных переменных в отсутствии нормального распределения использовали непараметрические критерии Краскела–Уоллиса при множественных сравнениях и U-критерий Манна–Уитни — для парных сравнений. Для сравнения качественных признаков применяли критерий χ2 Пирсона. Различия считали статистически значимыми при p <0,05.
РЕЗУЛЬТАТЫ
Участники исследования
В исследовании вошли 186 пациентов, из которых 180, соответствующие критериям включения, прошли все этапы исследования. Пациенты были разделены на 3 группы (см. подразд. «Анализ в подгруппах»). Клинико-демографические характеристики участников исследования представлены в табл. 1.
Таблица 1. Основные характеристики пациентов, включённых в исследование / Table 1. General characteristics of the patients
Показатель | ОА + ПВБ (1), n=60 | ОА (2), n=60 | ОА + ЭА (3), n=60 | р | |
Возраст, лет, Ме (Q25; Q75) | 58,5 (47,25; 64,0) | 57,5 (49,25; 65,25) | 59,0 (53,25; 68,00) | р1–2=0,052 р1–3=0,055 р2–3=0,140 | |
ИМТ, Ме (Q25; Q75) | 27,1 (25,5; 30,2) | 26,4 (24,5; 31,1) | 28,1 (26,3; 32,75) | р1–2=0,545 р1–3=0,102 р2–3=0,059 | |
Мужчины / женщины, n (%) | 39/21 (65; 35) | 34/26 (56,7; 43,3) | 34/26 (56,7; 43,3) | p=0,562 | |
ASA I, n (%) | 8 (13,3) | 4 (6,7) | 6 (10) | p=0,352 | |
ASA II, n (%) | 21 (35,0) | 23 (38,3) | 21 (35,0) | ||
ASA III, n (%) | 31 (51,7) | 33 (55,0) | 33 (55,0) | ||
Операция, n (%) | ЛРП | 44 (73,3) | 46 (76,7) | 45 (75,0) | p=0,452 |
ЛНЭ | 11 (8,3) | 12 (20,0) | 10 (16,3) | ||
ЛПЛМС | 5 (8,3) | 2 (3,3) | 5 (8,3) | ||
Примечание. р — уровень статистической значимости при межгрупповом сравнении, ИМТ — индекс массы тела, ЛРП — лапароскопическая резекция почки, ЛНЭ — лапароскопическая нефрэктомия, ЛПЛМС — лапароскопическая пластика лоханочно-мочеточникового сегмента, ОА + ПВБ — общая анестезия, сочетанная с паравертебральной блокадой, ОА — общая анестезия, ОА + ЭА — общая анестезия, сочетанная с эпидуральной анестезией.
Note. p — the level of statistical significance, ИМТ — body mass index, ЛРП — laparoscopic kidney resection, ЛНЭ — laparoscopic nephrectomy, ЛПЛМС — laparoscopic plastic surgery of the pelvic ureteral segment, OA + ПВБ — general anesthesia combined with paravertebral blockade, OA — general anesthesia, OA + ЭА — general anesthesia combined with epidural anesthesia.
Выделенные подгруппы пациентов сопоставимы по основным характеристикам: возрасту, индексу массы тела, межгрупповому соотношению полов (р=0,562), анестезиологическому риску по шкале ASA (р=0,352) и характеру выполненных операций (р=0,425; см. табл. 1).
Основные результаты исследования
Для выполнения сравнительной оценки эффективности методов анестезии была проанализирована интраоперационная потребность в опиоидных анальгетиках — первичная конечная точка. В табл. 2 представлены полученные результаты. Оценка количества введенного фентанила выполнена как в абсолютных значениях (мл или мкг), так и в мкг/кг в мин, с учётом некоторой разницы в продолжительности оперативного вмешательства.
Таблица 2. Потребность пациентов в фентаниле в зависимости от методики анестезии / Table 2. Patient requirement for fentanyl depending on anesthesia technique
Показатель | ОА + ПВБ (1), n=60 | ОА (2), n=60 | ОА + ЭА (3), n=60 | p | |
Время операции, мин | M ± σ Ме (Q25; Q75) | 133±53,87 120 (100,00; 157,56) | 119±44,09 110 (86,0; 140,0) | 150,58±56,85 142 (110,0; 180,0) | р1–2=0,205 р1–3=0,038 р2–3=0,001 |
Фентанил, мкг | M ± σ Ме (Q25; Q75) | 373,33±95,43 350,00. (300,0; 400,0) | 498,0±111,2 500,0 (400,0; 500,0) | 406,67±119,13 400,0 (300,0; 500,0) | р1–2=0,001 р1–3=0,134 р2–3=0,001 |
Фентанил, мкг/кг в мин | M ± σ Ме (Q25; Q75) | 0,05±0,09 0,04 (0,03; 0,04) | 0,06±0,02 0,05 (0,04; 0,07) | 0,04±0,02 0,03 (0,02; 0,05) | р1–2=0,001 р1–3=0,137 р2–3=0,001 |
Примечание. р — уровень статистической значимости при межгрупповом сравнении, M — среднее значение, σ — среднеквадратическое отклонение, Ме — медиана, Q — квартили, ОА + ПВБ — общая анестезия, сочетанная с паравертебральной блокадой, ОА — общая анестезия, ОА + ЭА — общая анестезия, сочетанная с эпидуральной анестезией.
Note. p — the level of statistical significance, M — the average value, σ — standard deviation, Me — median, Q — quartiles, OA + ПВБ — general anesthesia combined with paravertebral blockade, OA — general anesthesia, OA + ЭА — general anesthesia combined with epidural anesthesia.
Как видно из рис. 2, группы сочетанной анестезии (ОА + ПВБ, ОА + ЭА) характеризовались статистически значимо меньшей потребностью в опиоидах (р1–2 <0,001, р2–3 <0,001). При этом, оценивая группы сочетанной анестезии, значимой разницы в потребности в опиоидах мы не обнаружили (р1–3=0,137).
Рис. 2. Потребность в фентаниле (мкг и мкг/кг в мин) в зависимости от метода анестезии. Примечание. ОА + ПВБ — общая анестезия, сочетанная с паравертебральной блокадой, ОА — общая анестезия, ОА + ЭА — общая анестезия, сочетанная с эпидуральной анестезией. / Fig. 2. The need for opioids (µg and µg/kg per min) depending on the method of anesthesia. Note. OA + ПВБ — general anesthesia combined with paravertebral blockade, OA — general anesthesia, OA + ЭА — general anesthesia combined with epidural anesthesia.
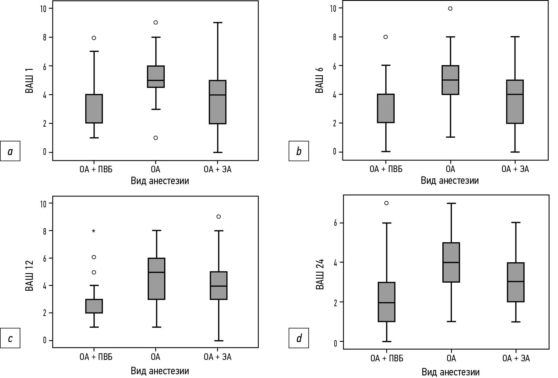
По окончании операции пациентов переводили под наблюдение реаниматолога, где в каждой из групп выполняли сравнительную оценку интенсивности болевого синдрома по ВАШ через 1, 6, 12 и 24 ч после вмешательства. В табл. 3 представлены полученные данные об интенсивности болевого синдрома, установлены статистически значимые различия между всеми группами в каждой из временных точек (p <0,05). При этом в группе ОА + ПВБ был зафиксирован стабильно низкий балл по ВАШ, в то время как в группе ОА он был стабильно высоким; группа ОА + ЭА занимала некое среднее положение со снижением интенсивности боли к концу 1-х сут после операции.
Таблица 3. Зависимость уровня боли по визуальной аналоговой шкале от методики анестезии / Table 3. Dependence of the pain level and the visual analogue scale through the anesthesia technique
Показатель | ОА + ПВБ (1), n=60 | ОА (2), n=60 | ОА + ЭА (3), n=60 | р | |
ВАШ 1 | M ± σ Ме (Q25; Q75) | 2,97±1,84 2,0 (2,0; 4,0) | 5,38±1,51 5,0 (4,25; 6,0) | 3,95±2,9 4,0 (2,0; 5,0) | р1–2=0,001; р1–3=0,003; р2–3 =0,001 |
ВАШ 6 | M ± σ Ме (Q25; Q75) | 2,71±1,64 2,0 (2,0; 4,0) | 5,23±1,76 5,0 (4,0; 6,0) | 3,72±1,86 4,0 (2,0; 5,0) | р1–2=0,001; р1–3=0,002; р2–3 =0,001 |
ВАШ 12 | M ± σ Ме (Q25; Q75) | 2,67±1,49 2,0 (1,0; 3,0) | 4,75±1,75 5,0 (3,0; 5,0) | 3,85±1,86 4,0 (3,0; 5,0) | р1–2=0,001; р1–3=0,001; р2–3=0,005 |
ВАШ 24 | M ± σ Ме (Q25; Q75) | 2,18±1,49 2,0 (1,0; 3,0) | 3,95±1,27 4,0 (3,0; 5,0) | 3,33±1,24 3,0 (2,0; 4,0) | р1–2=0,001; р1–3=0,001; р2–3 =0,008 |
Примечание. р — уровень статистической значимости при межгрупповом сравнении, ВАШ — визуальная аналоговая шкала, ОА + ПВБ — общая анестезия, сочетанная с паравертебральной блокадой, ОА — общая анестезия, ОА + ЭА — общая анестезия, сочетанная с эпидуральной анестезией.
Note. p — the level of statistical significance, ВАШ — the visually analog scale, OA + ПВБ — general anesthesia combined with paravertebral blockade, OA — general anesthesia, OA + ЭА — general anesthesia combined with epidural anesthesia.
На рис. 3 представлено графическое отображение полученных зависимостей.
Рис 3. Интенсивность боли по визуальной аналоговой шкале в подгруппах. Примечание. ВАШ — визуальная аналоговая шкала, а) — 1 ч; b) — 6 ч, c) — 12 ч, d) — 24 ч после операции. / Fig. 3. Intensity of pain according to VAS in subgroups. Note. ВАШ — the visually analog scale, a) — 1 hour, b) — 6 hours, c) —12 hours, d) — 24 hours after surgery.
Для комплексной оценки интенсивности болевого синдрома нами выполнена оценка потребности в опиоидах в течение 1-х сут послеоперационного периода. При интенсивности боли по ВАШ >4 баллов внутримышечно вводили тримеперидин в дозе 20 мг. В табл. 4 представлены полученные результаты.
Таблица 4. Потребность в тримеперидине в послеоперационном периоде в зависимости от методики анестезии / Table 4. The need for trimeperidine in the postoperative period, depending on the anesthesia technique
Показатель | ОА + ПВБ (1), n=60 | ОА (2), n=60 | ОА + ЭА (3), n=60 | Всего | p | ||
2% Тримеперидин, 1 мл | 0,0 | Частота | 51 | 36* | 41* | 128 | 0,045 |
% | 85,0 | 60,0 | 68,3 | 71,1 | |||
1 мл | Частота | 8 | 22* | 18* | 48 | ||
% | 13,3 | 36,7 | 30,0 | 26,7 | |||
2 мл | Частота | 1* | 2* | 1* | 4 | ||
% | 1,7 | 3,3 | 1,7 | 2,2 | |||
Итого % | Частота | 60 | 60 | 60 | 180 | ||
100 | 100 | 100 | 100 | ||||
Примечание (здесь и в табл. 5). * — статистически значимые различия (р <0,05) относительно группы 1, р — уровень статистической значимости при межгрупповом сравнении, ОА + ПВБ — общая анестезия, сочетанная с паравертебральной блокадой, ОА — общая анестезия, ОА + ЭА — общая анестезия, сочетанная с эпидуральной анестезией.
Note (here and in Table 5). * — comparing relative values (р <0.05), p — the level of statistical significance, OA + ПВБ — general anesthesia combined with paravertebral blockade, OA — general anesthesia, OA + ЭА — general anesthesia combined with epidural anesthesia.
Как видно из табл. 4, тримеперидин не потребовался 85% пациентов группы ПВБ, в то время как в группе ОА + ЭА его назначили 68,3%, в группе ОА — 60% человек. Однократное введение 1 мл 2% тримеперидина в ПВБ выполняли в 13,3%, ОА — 36,7%, ОА + ЭА — в 30% случаев. Полученные различия были статистически значимы (p=0,045). Двукратное введение опиоидного анальгетика в сравниваемых группах не различалось.
Среди оцениваемых вторичных конечных точек в качестве косвенного показателя выраженности болевого синдрома в послеоперационном периоде мы анализировали время активизации, то есть время самостоятельной вертикализации пациента (табл. 5). Как следует из табл. 5, в группе ПВБ в течение 1-х сут было активизировано 93,3% человек, то есть 56 пациентов, в то время как в группе ОА — 41,7% (n=25), в группе ЭА — 35,0% (n=21). На 2-е сут — оставшиеся пациенты: группа ПВБ — 6,7% (n=4), группа ОА — 58,3% (n=35), группа ОА + ЭА — 65% (n=39). Полученные различия статистически значимы: p1–2 <0,001 и p1–3 <0,001 соответственно. Более поздние сроки вертикализации в группе ОА можно объяснить наиболее интенсивным болевым синдромом и, соответственно, большей потребностью в опиоидах, в группе ЭА — вероятностью гемодинамических реакций на фоне двусторонней симпатической блокады и возможностью развития моторного блока.
Таблица 5. Зависимость времени активизации пациентов от методики анестезии / Table 5. The dependence of the activation time on the anesthesia technique
Показатель | ОА + ПВБ (1), n=60 | ОА (2), n=60 | ОА + ЭА (3), n=60 | Всего | p | ||
Время активизации, сут | 1 | Частота | 56 | 25* | 21* | 97 | 0,001 |
% | 93,3 | 41,7 | 35,0 | 56,6 | |||
2 | Частота | 4 | 35* | 39* | 77 | ||
% | 6,7 | 58,3 | 65,0 | 43,4 | |||
Итого % | Частота | 60 | 60 | 60 | 180 | ||
Дополнительные результаты исследования
Для комплексной оценки эффективности ПВБ мы провели анализ возникших в ходе работы с ПВБ осложнений. В табл. 6 представлены наиболее часто встречающиеся по данным литературы осложнения [22] и частота их возникновения в нашем исследовании.
Таблица 6. Осложнения паравертебральной блокады / Table 6. Complications of paravertebral blockade
ПВБ | Осложнения | Итого | |||||
Группа | Число пациентов | Гипотензия | Пункция сосудов | Гематома мягких тканей | Пневмоторакс | Отказ блока | |
1 | 1–20 | 0 | 0 | 3 | 0 | 3 | 6 |
% | 0 | 0 | 5,0 | 0 | 5,0 | 10 | |
2 | 21–40 | 1 | 0 | 0 | 0 | 0 | 1 |
% | 1,7 | 0 | 0 | 0 | 0 | 1,7 | |
3 | 41–60 | 0 | 0 | 0 | 0 | 0 | 0 |
% | 0 | 0 | 0 | 0 | 0 | 0 | |
Итого | Всего в группе из 60 пациентов | 1 | 0 | 3 | 0 | 3 | 7 |
% | 1,7 | 0 | 5,0 | 0 | 5,0 | 11,7 | |
Группу ПВБ мы разделили на 3 подгруппы, по 20 пациентов в каждой, для оценки не только частоты и характера осложнений, но и динамики их развития по мере внедрения и активного использования методики. В течение всего исследования не было зарегистрировано таких серьёзных осложнений, как пневмоторакс, пункция, травма сосудов. В первой двадцатке пациентов в 5% случаев встречалась гематома мягких тканей и у них же — «отказ» блока, то есть невозможность введения раствора местного анестетика в послеоперационном периоде, что, вероятнее всего, связано со смещением катетера при транспортировке пациентов из операционной в ОРИТ. Во 2-й двадцатке пациентов — 1 осложнение в виде гипотензии, что составило 1,7 % всех наблюдений. В 3-й подгруппе пациентов осложнений зафиксировано не было.
ОБСУЖДЕНИЕ
Резюме основного результата исследования
В нашем рандомизированном клиническом исследовании был выполнен сравнительный анализ эффективности метода ОА, сочетанной с ПВБ, с «чистой» ОА и ОА, сочетанной с ЭА. По результатам исследования, сочетание ОА с ПВБ при лапароскопических операциях на почках характеризовалось как эффективный метод анестезии / аналгезии, что подтверждалось меньшей потребностью в опиоидах (интра- и послеоперационный период), низкой интенсивностью болевого синдрома по ВАШ. Полученные эффекты позволили произвести более раннюю, чем в контрольных группах, активизацию пациентов. Выполнение ПВБ под УЗ-контролем повысило безопасность и эффективность методики. При анализе первичной конечной точки (потребность в фентаниле, мкг/кг в мин) мы получили статистически значимое преимущество сочетанных методик (ОА + ПВБ, ОА + ЭА), что соответствует данным ранее выполненных исследований [2, 23–25].
Обсуждение основного результата исследования
Полученное в нашей работе преимущество включения ПВБ в сравнении с «чистой» ОА (р1–2=0,001) в отношении интраоперационной потребности в опиоидах согласуется с данными исследования A.P. Borle и соавт., в котором они анализировали потребность в опиоидах при ЧНЛТ [12]. Подобные результаты получены и в метаанализе 5 рандомизированных клинических исследований X. Tan и соавт., выполненном в 2019 году [13]. Если обратиться к результатам использования ПВБ при лапароскопических операциях, то согласующиеся с нашими данными результаты представлены в исследованиях G. Aydin и соавт. и A. Agarwal и соавт. при лапароскопической холецистэктомии [19, 20]. При оценке интенсивности боли по ВАШ мы получили значимое преимущество сочетанной методики (ОА + ПВБ) перед ОА; в группе ПВБ уровень боли оставался стабильно низким в течение первых 24 ч после операции в сравнении с группой ОА. Эти результаты согласуются с данными, полученными, как в исследовании A.P. Borle и соавт., так и в работе T. Tang и соавт., где оценивали интенсивность болевого синдрома течение 48 ч после лапароскопической нефрэктомии [12, 21]. Особый интерес для нас представлял сравнительный анализ двух сочетанных методик анестезии. В нашей работе при отсутствии статистически значимых различий в интраоперационных дозах опиоидов, что подтверждается сведениями R. Davies и соавт, S. Gautam и соавт., в группе ПВБ уровень интенсивности боли по ВАШ был достоверно ниже, чем в группе ЭА во всех контрольных точках [6, 18]. Полученный результат согласуется с данными E. Elbealy и соавт., которые описывают преимущество включения ПВБ не только при сравнении с группой ОА, но и с группой сочетанной ОА + ЭА при ЧНЛТ как по количеству фентанила, так и баллу по ВАШ в течение 24 ч после операции [16]. В то же самое время H. Moawad и соавт. при открытой нефрэктомии, пиелолитотомии, пиелопластике, а также ряд других исследователей в своих работах не увидели значимых отличий по интенсивности послеоперационной боли в группах ПВБ и ЭА [6, 17, 26, 27]. Анализ потребности в опиоидах в послеоперационном периоде показал, что ПВБ с ОА, а также использование продлённой ПВБ позволяют снизить их дозу на 25% в сравнении с «чистой» ОА, что подтверждается данными метаанализа 5 рандомизированных контролируемых исследований X. Tan и соавт., а при сравнении с группой ЭА — на 16,7%, что согласуется с результатами исследования E. Elbealy и соавт. [13, 16]. Однако H. Moawad и соавт. и S. Gautam и соавт., сравнивая ЭА и ПВБ, не обнаружили значимых различий по этому показателю [17, 18]. В нашей работе мы провели сравнительную оценку времени вертикализации пациентов в каждой из групп: 93,3% было активизировано в 1-е сут в группе ПВБ, 41,7% — в группе ОА и 35% — в группе ОА + ЭА. На 2-е сут из оставшихся пациентов: 6,7% (n=4) — в группе 1, 58,3% (n=35) — в группе 2 и 65,0% (n=39) — в группе 3. Полученный результат вполне коррелирует с описанными выше данными об интенсивности боли по ВАШ и потребности в дополнительных опиоидах, где группа ПВБ характеризуется опиоидсберегающим эффектом. Это повышает общую удовлетворённость пациентов анестезией и ускоряет время их выписки из стационара. Этот факт имеет отражение и подтверждение во многих ранее опубликованных работах [12, 13, 16, 21, 28].
Обсуждение дополнительных результатов исследования
Из осложнений нами зарегистрированы: гематома мягких тканей — 5%, «отказ» блока — 5%, случай гипотонии — 1,7% случаев. Таких грозных осложнений, как пневмоторакс, повреждение органа, травма сосудов, зафиксировано не было. Литературы, посвящённой осложнениям при выполнении ПВБ под УЗ-контролем, в настоящее время имеется не так много, однако, по существующим данным, частота «отказа» блока варьирует в интервале от 5 до 10% и лишь при выполнении более 5000 блокад снижается до 1% [22]. Наш результат не превышает среднестатистического, а единственный случай гипотензии, составляющий 1,7%, не только не выше, но даже ниже такового по данным литературы (4,6%) [22]. Проводя анализ динамики развития осложнений, можно сделать вывод, что выполнение ПВБ под УЗ-контролем обеспечивает безопасность метода, его эффективность, а также доступность в освоении и выполнении.
Ограничения исследования
Хочется отметить, что исследований, посвящённых сравнению эффективности 3-х методов анестезии одновременно при лапароскопических вмешательствах в урологии, критически мало. Именно поэтому полученные нами результаты, на наш взгляд, не противоречат, а скорее дополняют имеющиеся данные, а также являются основанием для проведения дальнейших многоцентровых исследований с изучением стресс-ответа в каждой из групп.
ЗАКЛЮЧЕНИЕ
Современная лапароскопическая хирургия в урологии ориентирована на снижение интенсивности послеоперационной боли, что позволяет быстрее реабилитировать пациентов и сократить сроки госпитализации. ОА, сочетанная с ПВБ, характеризуется периоперационным опиодсберегающим эффектом, низкой интенсивностью послеоперационного болевого синдрома, что позволяет осуществить раннюю активизацию пациентов, минимизируя потенциальные нежелательные явления и осложнения. В будущем целесообразно проведение исследований по внедрению этой методики в широкую клиническую практику. Популяризация ПВБ в масштабах страны позволит значительно улучшить результаты лапароскопических операций на почках.
ДОПОЛНИТЕЛЬНАЯ ИНФОРМАЦИЯ
Источник финансирования. Не указан.
Конфликт интересов. Авторы декларируют отсутствие явных и потенциальных конфликтов интересов, связанных с проведённым исследованием и публикацией настоящей статьи.
Вклад авторов. И.В. Лапкина — анализ, сбор и систематизация данных клинического исследования; А.М. Овечкин — обоснование концепции исследования, планирование исследования, обобщение результатов, формулировка выводов, подготовка финальной версии рукописи; Т.М. Алексеева, И.В. Лапкина — сбор и анализ литературных источников; В.В. Козлов, Е.А. Безруков, Р.И. Слусаренко — статистический анализ, работа с графическим материалом.
ADDITIONAL INFO
Funding source. Not specified.
Competing interests. The authors declare that they have no competing interests.
Author’s contribution. I.V. Lapkina — analysis, collection and systematization of clinical trial data; A.M. Ovechkin — substantiation of the research concept, research planning, generalization of results, formulation of conclusions, preparation of the final version of the manuscript; T.M. Alekseeva, I.V. Lapkina — collection and analysis of literary sources; V.V. Kozlov, E.A. Bezrukov, R.I. Slusarenko — statistical analysis, work with graphic material.
About the authors
Irina V. Lapkina
Sechenov First Moscow State Medical University (Sechenov University)
Author for correspondence.
Email: ilapkina81@mail.ru
ORCID iD: 0000-0001-8330-4146
SPIN-code: 1608-5127
anesthesiologist-resuscitator
Russian Federation, 8 Trubetskaya Str., 119991, MoscowAlexey M. Ovechkin
Sechenov First Moscow State Medical University (Sechenov University)
Email: ovechkin_alexei@mail.ru
ORCID iD: 0000-0002-3453-8699
SPIN-code: 1277-9220
MD, Dr. Sci. (Med.), professor
Russian Federation, MoscowTatyana M. Alekseeva
Sechenov First Moscow State Medical University (Sechenov University)
Email: altami62@rambler.ru
ORCID iD: 0000-0003-3560-873X
SPIN-code: 2644-4484
anesthesiologist-resuscitator
Russian Federation, MoscowVasily V. Kozlov
Sechenov First Moscow State Medical University (Sechenov University)
Email: kvv.doc@gmail.com
ORCID iD: 0000-0002-2389-3820
SPIN-code: 7703-0013
Scopus Author ID: 57191536076
ResearcherId: B-2647-2017
MD, Cand. Sci. (Med.), associate professor
Russian Federation, MoscowEvgenii A. Bezrukov
Sechenov First Moscow State Medical University (Sechenov University)
Email: eabezrukov@rambler.ru
SPIN-code: 2208-2676
MD, Dr. Sci. (Med.), professor
Russian Federation, MoscowRoman I. Slusarenko
Sechenov First Moscow State Medical University (Sechenov University)
Email: slusarenco.roman@gmail.com
SPIN-code: 4051-0916
urologist
Russian Federation, MoscowReferences
- Sountoulides PG, Kaufmann OG, Kaplan AG, et al. Laparoscopic renal surgery. Minerva Chir. 2009;64(4):373–394.
- Rodgers A, Walker N, Schug S, et al. Reduction of postoperative mortality and morbidity with epidural or spinal anaesthesia: Results from overview of randomised trials. BMJ. 2000;321(7275):1493–1497. doi: 10.1136/bmj.321.7275.1493
- Detterbeck FC. Efficacy of methods of intercostal nerve blockade for pain relief after thoracotomy. Ann Thorac Surg. 2005;80(4):1550–1559. doi: 10.1016/j.athoracsur.2004.11.051
- Kreppel D, Antoniadis G, Seeling W. Spinal hematoma: A literature survey with meta-analysis of 613 patients. Neurosurg Rev. 2003;26(1):1–49. doi: 10.1007/s10143-002-0224-y
- Aufforth R, Jain J, Morreale J, et al. Paravertebral blocks in breast cancer surgery: Is there a difference in postoperative pain, nausea, and vomiting? Ann Surg Oncol. 2012;19(2):548–552. doi: 10.1245/s10434-011-1899-5
- Davies RG, Myles PS, Graham JM. A comparison of the analgesic efficacy and side-effects of paravertebral vs epidural blockade for thoracotomy — A systematic review and meta-analysis of randomized trials. Br J Anaesth. 2006;96(4):418–426. doi: 10.1093/bja/ael020
- Haager B, Schmid D, Eschbach J, et al. Regional versus systemic analgesia in video-assisted thoracoscopic lobectomy: A retrospective analysis. BMC Anesthesiol. 2019;19(1):34–36. doi: 10.1186/s12871-019-0851-2
- Naja MZ, Ziade MF, Lönnqvist PA. General anaesthesia combined with bilateral paravertebral blockade (T5-6) vs. general anaesthesia for laparoscopic cholecystectomy: A prospective, randomized clinical trial. Eur J Anaesthesiol. 2004;21(6):489–495. doi: 10.1017/S026502150400612X
- Thavaneswaran P, Rudkin GE, Cooter RD, et al. Paravertebral block for anesthesia: A systematic review. Anesth Analg. 2010;110(6):1740–1744. doi: 10.1213/ANE.0b013e3181da82c8
- Batra RK, Krishnan K, Agarwal A. Paravertebral Block. J Anaesthesiol Clin Pharmacol. 2011;27(1):5–11. doi: 10.4103/0970-9185.76608
- Baik JS, Oh AY, Cho CW, et al. Thoracic paravertebral block for nephrectomy: A randomized, controlled, observer-blinded study. Pain Med. 2014;15(5):850–856. doi: 10.1111/pme.12320
- Borle AP, Chhabra A, Subramaniam R, et al. Analgesic efficacy of paravertebral bupivacaine during percutaneous nephrolithotomy: An observer blinded, randomized controlled trial. J Endourol. 2014;28(9):1085–1090. doi: 10.1089/end.2014.0179
- Tan X, Fu D, Feng W, Zheng X. The analgesic efficacy of paravertebral block for percutaneous nephrolithotomy: A meta-analysis of randomized controlled studies. Medicine (Baltimore). 2019;98(48):56–62. doi: 10.1097/MD.0000000000017967
- Copik M, Bialka S, Daszkiewicz A, Misiolek H. Thoracic paravertebral block for postoperative pain management after renal surgery: A randomised controlled trial. Eur J Anaesthesiol. 2017;34(9):596–601. doi: 10.1097/EJA.0000000000000673
- Ak K, Gursoy S, Duger C, et al. Thoracic paravertebral block for postoperative pain management in percutaneous nephrolithotomy patients: A randomized controlled clinical trial. Med Princ Pract. 2013;22(3):229–233. doi: 10.1159/000345381
- Elbealy E, Rashwan D, Kassim SA, Abbas S. A comparison of the effects of epidural anesthesia, lumbar paravertebral block and general anesthesia in percutaneous nephrolithotomy. J Med Sci. 2008;8(2):170–176. doi: 10.3923/jms.2008.170.176
- Moawad HE, Mousa SA, El-Hefnawy AS. Single-dose paravertebral blockade versus epidural blockade for pain relief after open renal surgery: A prospective randomized study. Saudi J Anaesth. 2013;7(1):61–67. doi: 10.4103/1658-354X.109814
- Gautam SS, Das P, Agarwal A, et al. Comparative evaluation of continuous thoracic paravertebral block and thoracic epidural analgesia techniques for post-operative pain relief in patients undergoing open nephrectomy: A prospective, randomized, single-blind study. Anesth Essays Res. 2017;11(2):359. doi: 10.4103/0259-1162.194559
- Aydin G, Aydin O. The efficacy of ultrasound-guided paravertebral block in laparoscopic cholecystectomy. Medicina (Kaunas). 2018;54(5):1–8. doi: 10.3390/MEDICINA54050075
- Agarwal A, Batra R, Chhabra A, et al. The evaluation of efficacy and safety of paravertebral block for perioperative analgesia in patients undergoing laparoscopic cholecystectomy. Saudi J Anaesth. 2012;6(4):344–349. doi: 10.4103/1658-354X.105860
- Tang T, Lang F, Gao S, Chen L. Effect of combined thoracic paravertebral block and general anesthesia vs general anesthesia alone on postoperative stress and pain in patients undergoing laparoscopic radical nephrectomy. Med Sci Monit. 2021;27:56–67. doi: 10.12659/MSM.933623
- Ardon AE, Lee J, Franco CD, et al. Paravertebral block: Anatomy and relevant safety issues. Korean J Anesthesiol. 2020;73(5):394–400. doi: 10.4097/kja.20065
- Rafmell DP, Nil DM, Viskoumi KM. Regionarnaya anesteziya: samoe neobkhodimoe v anesteziologii. Transl. from Engl. 2nd ed. Zil’ber AP, Mal’tsev VV, editors. Moscow: MEDpress-inform; 2008. P. 57, 149. (In Russ).
- Osipova NA, Nikoda VV. Science on pain: modern state of art. Acute and chronic pain syndromes (data on the 10th World pain congress). Russian Journal of Anaesthesiology and Reanimatology. 2003;5:4–9. (In Russ).
- Torske KE, Dyson DH. Epidural analgesia and anesthesia. Vet Clin North Am Small Anim Pract. 2000;30(4):859–874. doi: 10.1016/S0195-5616(08)70011-1
- Júnior Ade P, Erdmann TR, Santos TV, et al. Comparison between continuous thoracic epidural and paravertebral blocks for postoperative analgesia in patients undergoing thoracotomy: Systematic review. Brazilian J Anesthesiol. 2013;63(5):433–442. doi: 10.1016/j.bjane.2013.10.002
- Hutchins JL, Grandelis AJ, Kaizer AM, Jensen EH. Thoracic paravertebral block versus thoracic epidural analgesia for post-operative pain control in open pancreatic surgery: A randomized controlled trial. J Clin Anesth. 2018;48:41–45. doi: 10.1016/j.jclinane.2018.04.013
- Yenidünya O, Bircan HY, Altun D, et al. Anesthesia management with ultrasound-guided thoracic paravertebral block for donor nephrectomy: A prospective randomized study. J Clin Anesth. 2017;37:1–6. doi: 10.1016/j.jclinane.2016.10.038
Supplementary files






