Effect of epidural blockade on immune parameters in the perioperative period: randomized controlled study
- Authors: Avetisian V.A.1,2, Ezugbaia B.S.1, Koriachkin V.A.2,3, Zabolotskii D.V.2,3, Safin R.R.2,3
-
Affiliations:
- Scientific Research Institute – Ochapovsky Regional Clinical Hospital N 1
- Saint-Petersburg State Pediatric Medical University
- Turner National Medical Research Center for Сhildren’s Orthopedics and Trauma Surgery
- Issue: Vol 17, No 1 (2023)
- Pages: 13-24
- Section: Original study articles
- Submitted: 04.02.2023
- Accepted: 20.03.2023
- Published: 19.04.2023
- URL: https://rjraap.com/1993-6508/article/view/191382
- DOI: https://doi.org/10.17816/RA191382
- ID: 191382
Cite item
Abstract
BACKGROUND: The potential benefits of anaesthesia techniques in the parameters of cellular immunity and prevention of metastasis in various types of cancer are attracting increasing attention.
OBJECTIVE: Our aim was to estimate the influence of the epidural blockade as a component of the anesthesia support on the immunity indexes in the patients operated for gastric cancer.
MATERIALS AND METHODS: 89 patients operated on for gastric cancer, divided into two groups were investigated: in the 1st group (n=27) there was general anesthesia (GA) in combination with extended epidural blockade; in the 2nd group (n=24) — GA with postoperative intravenous administration of analgesics. T-cell counts (CD3+, CD4+ CD8+, CD4+/CD8+) and cytokines (IL-4, IL-6, IL-10, INF-y and TNF-a) were determined.
RESULTS: The CD3+ T-cell levels in both groups were significantly (р <0.05) reduced immediately after surgery. On the 2nd and 3rd day the decrease in CD3+ T-cells was more pronounced (р <0.05) in the 2nd group compared to the 1st group. The content of CD4+ T-cells decreased by the 1st day of the postoperative period (р <0,05) but then gradually increased, the CD4+ level in the 1st group was significantly (р <0.05) higher than in the 2nd group. The changes of CD8+ content between the studied groups were not statistically significant. The immunoregulatory index in both groups decreased by1st day (р <0.05). On the 9th day the index in the 1st group returned to the basic values, while in the 2nd group it remained significantly lower. On the 1st and 3rd day, the levels of IL-4 and IL-6 significantly (р <0.05) increased, while in the 2nd group the levels were higher than in the 1st group (р <0.05). On the 9th day IL-4 and IL-6 indices returned to their initial values. The changes of IL-10 level had a similar pattern, while in the 1st group the rate was significantly higher (р <0.05). At all stages of investigation, the level of IFN-γ was significantly (р <0.05) higher in the 2nd group, the level of TNF-α was higher in the 1st group (р <0.05).
CONCLUSION: The use of postoperative epidural analgesia during gastric resection for malignant neoplasm is associated with a less suppressive effect on the content of subpopulations of T-lymphocytes and cytokines in comparison with intravenous administration of analgesics and may contribute to the activation of antitumor immune response. Prospective long-term studies are needed to evaluate physician epidural analgesia for oncological outcomes after surgery for gastric cancer.
Keywords
Full Text
ВВЕДЕНИЕ
Рак желудка является значимой проблемой общественного здравоохранения [1], поскольку в структуре заболеваемости занимает одну из ведущих позиций как в мире, так и в России, причём в Российской Федерации эта патология в 2016 году составляла около 6% всех злокачественных новообразований [2]. Операция в условиях общей анестезии остаётся основным методом лечения рака желудка [3], при этом различные методы анестезии могут по-разному влиять на послеоперационную реабилитацию, а также на вероятность рецидивов и метастазирования опухоли [4].
Хирургическая травма может нарушать синтез и секрецию различных цитокинов, что приводит к воспалительным реакциям, выраженность которых оказывает существенное влияние на показатели клеточного иммунитета и, как следствие, на результаты лечения, в том числе и на прогноз заболевания [5].
В последнее время потенциальные преимущества методов анестезии в отношении показателей клеточного иммунитета и предупреждения метастазирования при различных типах рака привлекают всё большее внимание [6–8], однако роль методов анестезии в улучшении результатов операции противоречива. Показано, что сочетание многокомпонентной общей и эпидуральной анестезии (ЭА) улучшало прогноз [9] и уменьшало частоту метастазирования после операций по поводу рака желудка [10]. Однако, напротив, в другом исследовании [11] авторы пришли к выводу, что тип анестезии не влияет на долгосрочную выживаемость после операции по поводу рака.
Цель исследования — оценить влияние эпидуральной блокады как компонента анестезиологического обеспечения на показатели клеточного иммунитета у пациентов, перенёсших операцию по поводу злокачественного новообразования желудка.
МАТЕРИАЛЫ И МЕТОДЫ
Дизайн исследования
Проведено рандомизированное контролируемое исследование.
Критерии соответствия
Критерии включения:
- наличие письменного добровольного информированного согласия на участие в исследовании;
- диагноз рака желудка;
- возраст 20–75 лет;
- II–III класс по классификации физического статуса пациентов Американского общества анестезиологов ASA;
- плановое оперативное вмешательство;
- нормальное число лейкоцитов.
Критерии невключения:
- экстренные операции;
- неоперабельный рак;
- периоперационные гемотрансфузии;
- послеоперационный делирий;
- сопутствующие некомпенсированные заболевания сердца, лёгких, печени, почек или эндокринной системы.
Условия проведения и продолжительность исследования
Исследование проведено на кафедре анестезиологии, реаниматологии и неотложной педиатрии им. проф. В.И. Гордеева СПбГПМУ на базе НИИ – ККБ № 1 им. проф. С.В. Очаповского в период с января 2020 по октябрь 2022 года.
Описание медицинского вмешательства
Анестезиологическое обеспечение. В 1-й группе накануне операции на уровне ТhVII–ТhIX выполняли катетеризацию эпидурального пространства.
Анестезия. Индукция наркоза — мидазолам (0,15 мг/кг), фентанил (2 мкг/кг), пропофол (1,5–2 мг/кг). Интубация трахеи на фоне рокурония (0,5–0,6 мг/кг). Искусственная вентиляция лёгких.
Поддержание анестезии — ингаляция севофлурана (0,5–1,0 минимальной альвеолярной концентрации, МАК) с болюсным введением фентанила (100 мкг).
Послеоперационная аналгезия — эпидуральная инфузия 0,2% раствора ропивакаина со скоростью 4–6 мл/ч при помощи эластомерных помп в течение 3 сут, внутривенно — ацетаминофен (500 мг 3–4 раза/сут), по требованию, при интенсивности боли более 4 см по визуальной аналоговой шкале (ВАШ) — трамадол (100 мг).
Во 2-й группе для индукции наркоза использовали мидазолам (0,15 мг/кг), фентанил (2 мкг/кг), пропофол (1,5–2 мг/кг). Интубация трахеи на фоне рокурония (0,5–0,6 мг/кг). Искусственная вентиляция лёгких. Поддержание анестезии — ингаляция севофлурана (0,5–1,0 МАК) с болюсным введением фентанила (100 мкг). Послеоперационная аналгезия — внутривенно кетопрофен (100 мг в 100–150 мл 0,9% раствора натрия хлорида) и ацетаминофен (500 мг 3–4 раза/сут), по требованию, при интенсивности боли более 4 см ВАШ — трамадол (100 мг).
Исходы исследования
Исходы исследования включали определение в сыворотке крови иммунокомпететных клеток CD3+, CD4+, CD8+ и иммунорегуляторного индекса утром в день операции (1-й этап), через 90 мин после начала (2-й этап) и сразу после окончания операции (3-й этап), затем — в 1-е (4-й этап), 2-е (5-й этап), 3-и (6-й этап) и 9-е (7-й этап) сут послеоперационного периода. Содержание в сыворотке крови цитокинов: IL-4, IL-6, IL-8, интерферона-γ (INF-γ) и фактора некроза опухоли-α (TNF-α) оценивали за сутки до операции (1-й этап) и в 1-е (2-й этап), 3-и (3-й этап) и 9-е (4-й этап) сут послеоперационного периода.
Методы регистрации исходов
Определение числа Т-клеток. Оценку количества Т-клеток периферической крови проводили на основании стандартной реакции прямой иммунофлуоресценции с использованием прямых флуорохромных конъюгатов. В работе использованы коммерческие моноклональные антитела (Becton Dickinson, США). Проточно-цитометрическая детекция клеток выполнена на проточных цитофлуориметрах «FACScan» и «FACS Calibur» (Becton Dickinson, США). Иммунорегуляторный индекс определяли путем расчёта соотношения Т-клеток CD4+ и CD8+.
Определение содержания цитокинов. Определение содержания цитокинов: IL-4, IL-6, IL-8, интерферона-γ (INF-γ) и фактора некроза опухоли-α (TNF-α) в сыворотке крови выполняли при помощи тест-систем для иммуноферментного анализа (ООО «Цитокин», Россия). Образцы крови собирали в пробирки с этилендиаминтетрауксусной кислотой (консервант) и центрифугировали в течение 10 мин при 4 °C сразу после взятия. Все исследования выполняли в день взятия крови.
Анализ в подгруппах
Обследованы 89 пациентов, которые были подвергнуты радикальным оперативным вмешательствам по поводу рака желудка в объёме гастроэктомии или дистальной субтотальной резекции с лимфодиссекцией. В процессе работы из исследования были исключены 38 человек по следующим причинам:
- отказ от участия (n=7);
- неоперабельный рак (n=6);
- периоперационная гемотрансфузия (n=8);
- послеоперационный делирий (n=4);
- нарушение протокола исследования (n=13).
Оставшийся 51 пациент был включён в настоящее исследование (рис. 1).
Рис. 1. Блок-схема исследования. / Fig. 1. Block Diagram of Research Design.
С помощью таблицы случайных чисел пациентов разделили на 2 сопоставимые по характеристикам группы: в 1-й группе (n=27) использовали многокомпонентную общую анестезию в сочетании с эпидуральной блокадой, во 2-й (n=24) — только многокомпонентную общую анестезию.
Этическая экспертиза
На проведение исследования было получено одобрение локальных этических комитетов СПбГПМУ (протокол № 28 от 15.10.2019) и ГБУЗ НИИ – ККБ № 1 им. проф. С.В. Очаповского (протокол № 7 от 21.10.2019).
Статистический анализ
Статистическую обработку полученных числовых данных проводили с использованием программы SPSS Statistics v. 26 (IBM Corp., США). Оценку на нормальность распределения выполняли при помощи критерия Шапиро–Уилка. При нормальном распределении данные описывали с помощью средних значений (М) и стандартного отклонения (SD), при распределении, отличном от нормального, использовали U-критерий Манна–Уитни. Значимость различий относительных показателей оценивали по критерию χ2 (хи-квадрат) Пирсона. Уровень статистической значимости принимали равным 0,05.
РЕЗУЛЬТАТЫ
Участники исследования
В соответствии с критериями включения для участия в исследовании был отобран 51 пациент. Пациентов разделили на 2 группы: в 1-й группе (n=27) использовали многокомпонентную общую анестезию в сочетании с эпидуральной блокадой, во 2-й (n=24) — только многокомпонентную общую анестезию. Группы пациентов были сопоставимы по характеристикам (возраст, антропометрические данные, состояние по ASA; табл. 1).
Таблица 1. Характеристики обследованных пациентов, M ± SD / Table 1. Characteristics of included patients, M ± SD
Характеристики | 1-я группа (n=27) | 2-я группа (n=24) |
Муж. / жен., n (%) | 18 (66,6) / 9 (33,3) | 16 (66,7) / 8 (33,3) |
Возраст, лет | 52,5±7,4 | 55,4±8,1 |
Масса тела, кг | 63,3±7,3 | 64,4±5,8 |
Рост, см | 162,1±5,9 | 160,4±7,8 |
ИМТ, кг/м2 | 20,31±1,2 | 20,22±1,3 |
ASA II/III, n (%) | 19 (70,4) / 8 (29,6) | 17 (70,8) / 7 (29,2) |
Примечание. ИМТ — индекс массы тела, ASA — классификация физического статуса пациентов Американского общества анестезиологов.
Note. ИМТ — body mass index, ASA — classification of the physical condition of patients of the American Society of Anesthesiologists.
Основные результаты исследования
Перед проведением анестезии содержание субпопуляций Т-лимфоцитов CD3+, CD4+ и CD8+ между группами значимо не различалось.
В обеих группах через 90 мин после начала операции и непосредственно по её окончании при сравнении с исходными показателями содержание клеток CD3+, CD4+ снижалось, при этом указанные показатели в 1-й группе были несколько выше, чем во 2-й, но их значения не достигали статистической значимости.
В 1-е сут после операции показатели CD3+ в обеих группах не отличались от исходных, содержание CD4+ было ниже по сравнению с исходными данными, при этом уровень CD4+ в 1-й группе был статистически значимо (p <0,05) выше по сравнению со 2-й группой. На 2-е и 3-и сут послеоперационного периода в обеих группах было установлено значимое (p <0,05) снижение содержания Т-клеток CD3+, CD4+ по сравнению с исходными показателями. При сравнении содержания Т-клеток оказалось, что в 2-й группе снижение Т-клеток CD3+ и CD4+ было более выражено (р <0,05) по сравнению с 1-й группой (рис. 2, а, б).
Рис. 2. Динамика изменения содержания Т-клеток CD3+ (а), CD4+ (б) и иммунорегуляторного индекса (в) в периоперационном периоде. Примечание (здесь и на рис. 3). 1-я группа — эпидуральная аналгезия, 2-я группа — внутривенное введение анальгетиков. Этапы исследования: 1 — перед анестезией; 2 — через 90 мин после начала операции; 3 — сразу после окончания операции; 4 — 1-е сут; 5 — 2-е сут; 6 — 3-е сут; 7 — 9-е сут послеоперационного периода. * р <0,05 — по сравнению с исходными данными, ** р <0,05 — по сравнению со 2-й группой. / Fig. 2. The level of T-cells CD3+ (a), CD4+ (б) and CD4+/CD8+ (в) in the perioperative period. Note (here and in Fig. 3). 1-я группа — epidural analgesia, 2-я группа — intravenous administration of analgesics. Stages of the study: 1 — before anesthesia; 2 — 90 min after the start of the operation; 3 — immediately after the end of the operation; 4 —1st day; 5 — 2nd day; 6 — 3rd day; 7 — 9th day of the postoperative period. * р <0.05 — compared with the original data, ** р <0.05 — compared with the 2nd group.
Изменения содержания CD8+ в период наблюдения между исследуемыми группами не были статистически значимыми.
На первых 3 этапах исследования иммунорегуляторный индекс снижался по сравнению с исходными данными без статистической разницы между группами. Максимальное снижение иммунорегуляторного индекса было зафиксировано в 1-е сут послеоперационного периода. На 2-е и 3-и сут в 1-й группе иммунорегуляторный индекс прогрессивно увеличивался, тогда как во 2-й группе этот показатель оказался значимо (р <0,05) ниже. К 9-м сут послеоперационного периода иммунорегуляторный индекс не достигал исходных значений и значимо (р <0,05) отличался от величины в 1-й группе (рис. 2, в).
Восстановление уровня Т-клеток, близкого к исходным показателям, происходило к 9-м сут послеоперационного периода.
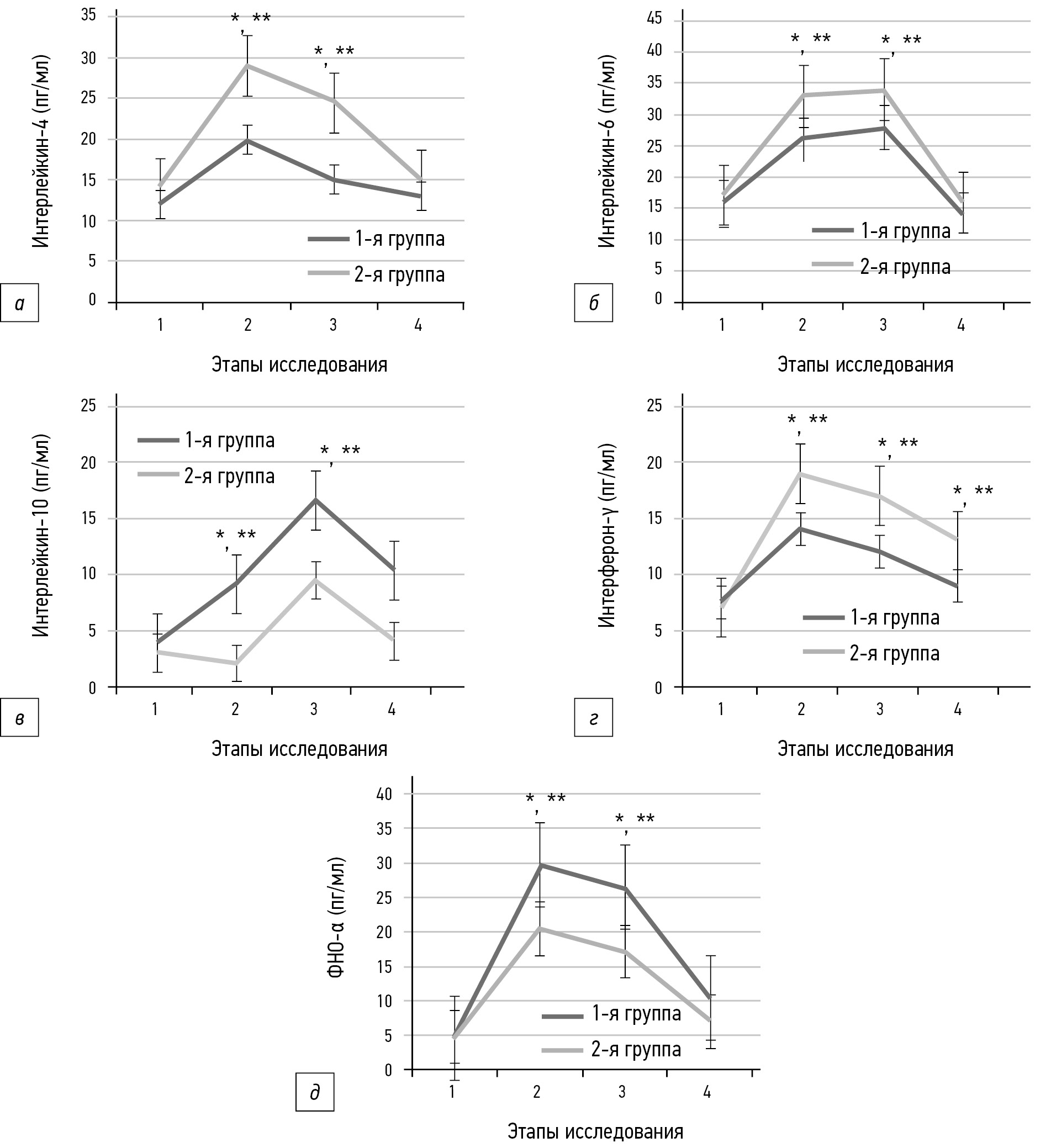
Перед анестезией и операцией концентрация IL-4 достоверно между группами не различалась (р >0,05). В послеоперационном периоде в обеих группах изменение содержания IL-4 в сыворотке крови имело аналогичную направленность: в 1-е и 3-и сут послеоперационного периода уровни цитокинов существенно возрастали. При этом во 2-й группе содержание IL-4 было статистически значимо (р <0,05) выше, чем в 1-й. На 9-е сут послеоперационного периода показатели возвращались к исходным значениям (рис. 3, а).
Рис. 3. Изменение содержания IL-4 (а), IL-6 (б), IL-10 (в), IFN-γ (г) и TNF-α (д) у обследованных пациентов в послеоперационном периоде. / Fig. 3. Change in the content of IL-4 (a), IL-6 (б), IL-10 (в), IFN-γ (г) and TNF-α (д) in the postoperative period.
Перед анестезией и операцией концентрация IL-6 достоверно между группами не различалась (р >0,05). В 1-е и 3-и сут послеоперационного периода в обеих группах содержание IL-6 существенно (р <0,05) возрастало как по сравнению с исходными показателями, так и между собой. На 9-е сут послеоперационного периода показатели возвращались к исходным значениям (рис. 3, б).
Уровень противовоспалительного цитокина IL-10 в 1-й группе значимо (р <0,05) превышал дооперационные показатели на всех этапах исследования с максимальными значениями на 3-и сут после операции: с исходных 3,8 до 16,7 пг/мл (р <0,05). На 9-е сут показатель снижался, но тем не менее оставался выше (р <0,05) по сравнению с исходными данными. Во 2-й группе в 1-е сут зафиксировано некоторое снижение значений IL-10 с подъёмом на 3-и сут после операции и с последующим снижением и приближением к исходным значениям (рис. 3, в).
Концентрация IFN-γ в обеих группах увеличивалась на 1-е и 3-и сут послеоперационного периода по сравнению с исходными показателями (р <0,05), причём в 1-е и 2-е сут послеоперационного периода содержание IFN-γ в 1-й группе статистически значимо (р <0,05) превышало содержание IFN-γ во 2-й группе (рис. 3, г). Указанные показатели к 9-м сут послеоперационного периода снижались: в 1-й группе приближались к дооперационным значениям, во 2-й — были выше исходных (р <0,05).
Содержание TNF-α в обеих группах на следующие и 3-и сут после операции существенно выросло, причём в 1-й группе показатели были статистически значимо выше по сравнению со 2-й группой (р <0,05). На 9-е сут послеоперационного периода уровень TNF-α снижался, но тем не менее был значимо (р <0,05) выше по сравнению с исходными значениями (рис. 3, д).
Нежелательные явления
Осложнений и нежелательных явлений, связанных с анестезиологическим обеспечением, во время исследования не зарегистрировано.
ОБСУЖДЕНИЕ
Резюме основного результата исследования
В нашем исследовании содержание Т-клеток CD3+, CD4+ и иммунорегуляторного индекса статистически значимо снижалось на 2-е и 3-и сут послеоперационного периода, причём содержание Т-клеток при эпидуральной аналгезии (ЭА) было существенно выше, чем в группе, где использовали системное введение анальгетиков, что согласуется с результатами исследований других авторов [12, 13]. Обнаруженная разница обусловлена тем, что периоперационное введение опиоидов способствует иммуносупрессии, а ЭА предотвращает эти нарушения за счёт снижения периоперационных реакций на стресс [14–17].
Обсуждение основного результата исследования
Согласно клонально-селекционной теории иммунитета Ф. Бернета (F. Burnet), существует так называемый иммунный надзор — механизм распознавания и уничтожения опухолевых клеток для предупреждения развития злокачественных новообразований, в котором существенная роль принадлежит натуральным киллерам и Т-лимфоцитам, в частности CD3+, CD4+ и CD8+-клеткам [18, 19]. Стресс, обусловленный хирургическим вмешательством, интраоперационной травмой, влиянием анестетиков, болевым синдромом после операции, способствует иммуносупрессии [12, 20].
Во время операции и сразу по её окончании в обеих наблюдаемых нами группах Т-лимфоциты CD3+ и CD4+ снижались, что указывало на снижение активности клеточного иммунитета в ответ на оперативное вмешательство. В дальнейшем, в 1-е сут послеоперационного периода, отмечалось увеличение содержания CD3+ Т-лимфоцитов. Так же, как и в работе А.А. Казанина и соавт., между исследуемыми группами нами не установлено статистически значимых различий по содержанию CD8+ Т-лимфоцитов [21].
На фоне ЭА иммунорегуляторный индекс имел выраженную тенденцию к росту и нормализации к 9-м сут послеоперационного периода. При использовании опиатов этот показатель был существенно ниже, что может свидетельствовать о состоянии, связанном с иммунодефицитом [22, 23].
Известно, что цитокины способны регулировать процессы пролиферации, дифференцировки, функционирования, апоптоза клеток и могут оказывать про- или противоонкогенное действие [24, 25]. По современным представлениям, взаимодействие организма и злокачественной опухоли во многом определяется состоянием иммунной системы. Считается, именно иммуносупрессия благоприятствует метастазированию [26], и значимая роль в этом процессе принадлежит цитокинам. При этом у большинства цитокинов выявлены двойственные эффекты в отношении опухолевого роста: они могут выступать как в качестве факторов усиления роста опухоли (TNF-α) и миграции опухолевых клеток (IL-6, IL-8), так и факторов, препятствующих росту новообразования.
Наши результаты демонстрируют существенно меньшее содержание IL-4 у пациентов на 1-е и 3-и сут послеоперационного периода в условиях ЭА по сравнению с внутривенным введением анальгетиков. В литературе показано, что IL-4 может оказывать значительное влияние на прогрессирование роста раковых клеток, в частности раковых клеток желудка и толстой кишки [27, 28]. К 9-м сут послеоперационного периода показатели приближались к исходным значениям, однако при внутривенном введении анальгетиков эта величина была статистически значимо выше по сравнению с предоперационными данными. Как провоспалительный цитокин, IL-4 за счёт дифференцировки Th2-клеток [29] способствует выработке IL-10, что мы наблюдали в нашем исследовании.
Анализ полученных результатов показал, что содержание провоспалительного цитокина IL-6 при использовании ЭА существенно ниже по сравнению с применением анальгетиков. Этот факт указывает на то, что иммунная функция в условиях ЭА была подавлена меньше. Данный тезис подтверждается и увеличением концентрации IFN-γ при ЭА, которое мы наблюдали в исследовании, что подтверждает результаты, полученные L. Wang и соавт. [12]. Статистически значимое повышение уровня IL-6 в условиях системного введения анальгетиков по сравнению с ЭА свидетельствует об активации провоспалительного звена под влиянием анальгетиков [30]. IL-6 оказывает существенное влияние на пролиферацию и метастатические свойства раковых клеток. В эксперименте показано, что медикаментозная блокада IL-6 обладает противоопухолевым эффектом [31], поэтому снижение содержания IL-6 в условиях ЭА может способствовать уменьшению вероятности метастазирования.
Рост концентрации IL-10 на всех этапах исследования можно рассматривать как компенсаторную реакцию на изменение профиля провоспалительных цитокинов (IL-6) и напряжение адаптационных систем гомеостаза. Показано, что IL-10, продуцируемый макрофагами и Т-клетками, играет значительную роль в противоопухолевом иммунитете. Так, блокада IL-10 резко усиливает вероятность метастазирования, тогда как повышение содержания IL-10 почти в 2 раза увеличивает гибель клеток карциномы [32]. Высокие концентрации IL-10 могут способствовать снижению вероятности метастазирования, в частности при раке молочной железы [33]. В клиническом исследовании установлено, что сывороточный IL-10 служит независимым прогностическим фактором у пациентов с раком желудка [34]. Имеются данные о связи повышенных предоперационных концентраций IL-10 с сокращением 5-летней выживаемости больных раком желудка [35].
Основными источниками IFN-γ являются CD4+ и CD8+ T-клетки [36], что подтверждается и нашими наблюдениями: увеличение содержания CD4+ и CD8+ приводит к росту концентрации IFN-γ. Уровень экспрессии IFN-γ отражает способность этого противоопухолевого цитокина ингибировать рост злокачественных клеток [37, 38]. Считается, что IFN-γ принадлежит ключевая роль в активации клеточного иммунитета и, как следствие, в стимуляции противоопухолевого иммунного ответа [39, 40].
TNF-α — это один из основных цитокинов, увеличение содержания которого опосредует ранний ответ на повреждение ткани [41] и стимулирует выработку IL-6, что мы и отметили выше в нашем исследованием. Уровни TNF-α значимо повышались в 1-е и 3-и сут послеоперационного периода, что свидетельствует о том, что операционная травма и операционный стресс могут запускать системное воспаление и подавлять механизмы иммунной защиты. Кроме того, концентрация TNF-α была существенно выше в условиях ЭА, чем при введении анальгетиков.
Мы пока не располагаем отдалёнными результатами в отношении частоты рецидивов или метастазирования, но продолжаем наблюдение за нашими пациентами с надеждой получить указанные данные через 3–4 года.
Ограничения исследования
Наше исследование имело несколько ограничений. Во-первых, ограничивающим фактором выступило то, что наша выборка достаточно мала, поэтому для окончательного утверждения связи между ЭА и метастазированием при резекции желудка по поводу рака потребуется проведение больших рандомизированных исследований с долгосрочным наблюдением. Во-вторых, мы оценивали только некоторые цитокины из подмножества Т-клеток. В будущем предстоит оценить состояние таких противоопухолевых цитокинов, как IL-2, IL-9, IL-12 и других, в условиях эпидуральной блокады. В-третьих, наше исследование длилось в течение 9 сут после операции, поэтому мы не могли оценить общий иммунный статус, который может претерпевать изменения в течение 2–4 недель послеоперационного периода. Наконец, несомненно, существуют ещё не известные факторы, которые потенциально могут влиять на выживаемость пациентов.
ЗАКЛЮЧЕНИЕ
Полученные нами результаты могут обеспечить теоретическую основу для оптимизации методов анестезиологического обеспечения путём разработки и клинического применения комбинаций анестетиков и анальгетиков, которые эффективно корригируют периоперационный стресс, отказывая минимальное воздействие на иммунные функции. Использование послеоперационной ЭА при резекции желудка по поводу злокачественного новообразования сопряжено с меньшим супрессивным влиянием в отношении содержания субпопуляций Т-лимфоцитов и интерлейкинов по сравнению с внутривенным введением анальгетиков и может способствовать активации противоопухолевого иммунного ответа. Необходимы проспективные лонгитюдные исследования для оценки влияния ЭА на онкологические исходы после операции по поводу рака желудка.
ДОПОЛНИТЕЛЬНАЯ ИНФОРМАЦИЯ
Источник финансирования. Не указан.
Конфликт интересов. Авторы декларируют отсутствие явных и потенциальных конфликтов интересов, связанных с публикацией настоящей статьи.
Вклад авторов. Все авторы подтверждают соответствие своего авторства международным критериям ICMJE (все авторы внесли существенный вклад в разработку концепции, проведение исследования и подготовку статьи, прочли и одобрили финальную версию перед публикацией).
ADDITIONAL INFO
Funding source. Not specified.
Competing interests. The authors declare that they have no competing interests.
Author’s contribution. All authors confirm the compliance of their authorship, according to international ICMJE criteria (all authors made a substantial contribution to the conception of the work, acquisition, analysis, interpretation of data for the work, drafting and revising the work, final approval of the version to be published.
About the authors
Vaagn A. Avetisian
Scientific Research Institute – Ochapovsky Regional Clinical Hospital N 1; Saint-Petersburg State Pediatric Medical University
Email: vaagnavetisian@gmail.com
ORCID iD: 0000-0001-6555-7369
SPIN-code: 1731-5376
anesthesiologist-resuscitator
Russian Federation, Krasnodar; 2 Litovskaya Str., 194100, St. PetersburgBeka S. Ezugbaia
Scientific Research Institute – Ochapovsky Regional Clinical Hospital N 1
Email: ezugbaia.b.s@gmail.com
ORCID iD: 0000-0002-0271-4643
SPIN-code: 1713-7653
MD, Cand. Sci. (Med.)
Russian Federation, KrasnodarVictor A. Koriachkin
Saint-Petersburg State Pediatric Medical University; Turner National Medical Research Center for Сhildren’s Orthopedics and Trauma Surgery
Author for correspondence.
Email: vakoryachkin@mail.ru
ORCID iD: 0000-0002-3400-8989
SPIN-code: 6101-0578
MD, Dr. Sci. (Med.), Professor
Russian Federation, 2 Litovskaya Str., 194100, St. Petersburg; St. PetersburgDmitry V. Zabolotskii
Saint-Petersburg State Pediatric Medical University; Turner National Medical Research Center for Сhildren’s Orthopedics and Trauma Surgery
Email: zdv4330303@gmail.com
ORCID iD: 0000-0002-6127-0798
SPIN-code: 6726-2571
MD, Dr. Sci. (Med.), Professor
Russian Federation, 2 Litovskaya Str., 194100, St. Petersburg; St. PetersburgRustam R. Safin
Saint-Petersburg State Pediatric Medical University; Turner National Medical Research Center for Сhildren’s Orthopedics and Trauma Surgery
Email: safin_r.r@hotmail.com
ORCID iD: 0000-0003-0960-7426
SPIN-code: 4863-8066
MD, Dr. Sci. (Med.), Professor
Russian Federation, 2 Litovskaya Str., 194100, St. Petersburg; St. PetersburgReferences
- Siegel RL, Miller KD, Jemal A. Cancer statistics, 2019. CA Cancer J Clin. 2019;69(1):7–34. doi: 10.3322/caac.21551
- Kaprin AD, Starinskii VV, Shakhzadova AO, editors. Zlokachestvennye novoobrazovaniya v Rossii v 2020 godu (zabolevaemost’ i smertnost’). Moscow: MNIOI im. P.A. Gertsena – filial FGBU «NMITs radiologii» Minzdrava Rossii; 2021. (In Russ).
- Chaika AV, Khomyakov VM, Khoronenko VE, et al. Surgical treatment in elderly patients with gastric cancer. P.A. Herzen Journal of Oncology. 2019;8(1):4–12. (In Russ). doi: 10.17116/onkolog201980114
- Choi WJ, Baek S, Joo EY, et al. Comparison of the effect of spinal anesthesia and general anesthesia on 5-year tumor recurrence rates after transurethral resection of bladder tumors. Oncotarget. 2017;8(50):87667. doi: 10.18632/oncotarget.21034
- Liu W, Wu L, Zhang M, Zhao L. Effects of general anesthesia with combined epidural anesthesia on inflammatory response in patients with early-stage gastric cancer undergoing tumor resection. Exp Ther Med. 2019;17(1):35–40. doi: 10.3892/etm.2018.6898
- Sessler DI, Pei L, Huang Y, et al. recurrence of breast cancer after regional or general anaesthesia: a randomised controlled trial. Lancet. 2019;394(10211):1807–1815. doi: 10.1016/S0140-6736(19)32313-X
- Abdallah FW, Wijeysundera DN. Anaesthetic interventions and long-term tumour recurrence. Lancet. 2019;394(10211):1781–1782. doi: 10.1016/S0140-6736(19)32314-1
- Dubowitz JA, Sloan EK, Riedel BJ. Implicating anaesthesia and the perioperative period in cancer recurrence and metastasis. Clin Exp Metastasis. 2018;35(4):347–358. doi: 10.1007/s10585-017-9862-x
- Zhong S, Zhong X, Zhong X, Liu Y. Comparison between the effect of epidural anesthesia combined with epidural analgesia and general anesthesia combined with intravenous analgesia on prognosis of ovarian cancer patients. Oncol Lett. 2019;17(6):5662–5668. doi: 10.3892/ol.2019.10216
- Pei JP, Zhang CD, Liang Y, et al. Effects of epidural combined with general anesthesia versus general anesthesia alone in gastric cancer surgery: a propensity score matching analysis. Ann Transl Med. 2020;8(7):473. doi: 10.21037/atm.2020.03.127
- Xu ZZ, Li HJ, Li MH, et al. Epidural anesthesia-analgesia and recurrence-free survival after lung cancer surgery: A randomized trial. Anesthesiology. 2021;135(3):419–432. doi: 10.1097/ALN.000000000000387
- Wang L, Liang S, Chen H, et al. The effects of epidural anaesthesia and analgesia on T lymphocytes differentiation markers and cytokines in patients after gastric cancer resection. BMC Anesthesiol. 2019;19(1):102. doi: 10.1186/s12871-019-0778-7
- Hou M, Zhou NB, Li H, et al. Morphine and ketamine inhibit immune function of gastric cancer patients by increasing percentage of CD4(+)CD25(+)Foxp3(+) regulatory T cells in vitro. J Surg Res. 2016;203(2):306–312. doi: 10.1016/j.jss.2016.02.031
- Liu X, Wang Q. Application of anesthetics in cancer patients: reviewing current existing link with tumor recurrence. Front Oncol. 2022;12:759057. doi: 10.3389/fonc.2022.759057
- Loening F, Kleinwort A, Partecke LI, et al. Visceral surgery profoundly affects the cellular and humoral components of the anti-tumour immune response in a murine pancreatic adenocarcinoma model. Cancers (Basel). 2022;14(16):3850. doi: 10.3390/cancers14163850
- Pesco J, Young K, Nealon K, et al. Use and outcomes of epidural analgesia in upper gastrointestinal tract cancer resections. J Surg Res. 2021;257:433–441. doi: 10.1016/j.jss.2020.08.018
- Strashnov VI, Zabrodin ON, Mamedov AD, et al. Preduprezhdenie intraoperatsionnogo stressa i ego posledstvii. St. Petersburg: ELBI-SPb; 2015. (In Russ).
- Spikett G. Klinicheskaya immunologiya i allergologiya. Oksfordskii spravochnik. Per. s angl. Il’ina NI, editor. Moscow: GEOTAR-Media; 2022. (In Russ).
- Chuchalin AG, Kostinov MP. Rukovodstvo po klinicheskoi immunologii v respiratornoi meditsine. Moscow: Atmosfera; 2016. (In Russ).
- Sekandarzad MW, van Zundert AAJ, Lirk PB, et al. Perioperative anesthesia care and tumor progression. Anesth Analg. 2017;124(5):1697–1708. doi: 10.1213/ANE.0000000000001652
- Kazanin AA, Zagrekov VI, Lebedev MY, et al. Effect of the method of anesthetic aid on cellular immunity in periprosthetic infection of the hip joint: a prospective open randomized study. Regional Anesthesia and Acute Pain Management. 2022;16(3):195–204. (In Russ). doi: https://doi.org/10.17816/pa.v16i3.79502
- Aiello A, Farzaneh F, Candore G, et al. Immunosenescence and its hallmarks: how to oppose aging strategically? A Review of potential options for therapeutic intervention. Front Immunol. 2019;10:2247. doi: 10.3389/fimmu.2019.02247
- Turner JE. Is immunosenescence influenced by our lifetime «dose» of exercise? Biogerontology. 2016;17(3):581–602. doi: 10.1007/s10522-016-9642-z
- Matveeva LV, Mosina LM. The role of interleukin-1 and associated cytokines in gastric carcinogenesis. Annals of the Russian Academy of Medical Sciences. 2012;11:59–65. (In Russ). doi: 10.15690/vramn.v67i11.473
- Ketlinskii SA, Simbirtsev AS. Tsitokiny. St. Petersburg: Foliant; 2008. (In Russ).
- Slepov YK, Laushkin MA, Deev RV. The hypothesis of the immune system’s role in carcinogenesis. Genes and cells. 2021;16(1):82–91. (In Russ). doi: 10.23868/202104013
- Song X, Traub B, Shi J, Kornmann M. Possible roles of interleukin-4 and -13 and their receptors in gastric and colon cancer. Int J Mol Sci. 2021;22(2):727. doi: 10.3390/ijms22020727
- Sampaio AM, Balseiro SC, Silva MR, et al. Association between IL-4 and IL-6 expression variants and gastric cancer among portuguese population. GE Port J Gastroenterol. 2015;22(4):143–152. doi: 10.1016/j.jpge.2015.04.001
- Smirnova OV, Elmanova NG. Characterization of cellular immunity in patients with obstructive jaundice caused by cholelithiasis. Immunologiya. 2021;42(6):655–661. (In Russ). doi: 10.33029/0206-4952-2021- 42-6-655-661
- Gurskaya VI, Dryagina NV, Ivanov VP, et al. Effect of general anesthesia on systemic inflammatory response and neuronal damage in children with craniosynostosis in perioperative period. Anaesthesiology and Reanimatology. 2021;1:39–45. (In Russ). doi: 10.17116/anaesthesiology202101139
- Jones SA, Jenkins BJ. Recent insights into targeting the IL-6 cytokine family in inflammatory diseases and cancer. Nat Rev Immunol. 2018;18(12):773–789. doi: 10.1038/s41577-018-0066-7
- Sullivan KM, Jiang X, Guha P, et al. Blockade of interleukin 10 potentiates antitumour immune function in human colorectal cancer liver metastases. Gut. 2023;72(2):325–337. doi: 10.1136/gutjnl-2021-325808
- Ahmad N, Ammar A, Storr SJ, et al. IL-6 and IL-10 are associated with good prognosis in early stage invasive breast cancer patients. Cancer Immunol Immunother. 2018;67(4):537–549. doi: 10.1007/s00262-017-2106-8
- Zhou L, Tang C, Li X, Feng F. IL-6/IL-10 mRNA expression ratio in tumor tissues predicts prognosis in gastric cancer patients without distant metastasis. Sci Rep. 2022;12(1):19427. doi: 10.1038/s41598-022-24189-3
- Matveeva LV. Changes of immunoregulatory peptides during surgical treatment of gastric cancer. Medical Immunology (Russia). 2014;16(3):289–294. (In Russ). doi: 10.15789/1563-0625-2014-3-289-294
- Burke JD, Young HA. IFN-γ: A cytokine at the right time, is in the right place. Semin Immunol. 2019;43:101280. doi: 10.1016/j.smim.2019.05.002
- Tan PH, Ji J, Yeh CC, Ji RR. Interferons in pain and infections: emerging roles in neuro-immune and neuro-glial interactions. Front Immunol. 2021;12:783725. doi: 10.3389/fimmu.2021.783725
- Mukhacheva MV, Beyn BN. The role of interferon in antitumor immunity in patients with cerebral tumors. Fundamental research. 2015;1–7:1486–1490. (In Russ).
- Jorgovanovic D, Song M, Wang L, Zhang Y. Roles of IFN-γ in tumor progression and regression: a review. Biomark Res. 2020;8:49. doi: 10.1186/s40364-020-00228-x
- Granzin M, Wagner J, Köhl U, et al. Shaping of natural killer cell antitumor activity by ex vivo cultivation. Front Immunol. 2017;8:458. doi: 10.3389/fimmu.2017.00458
- Tereshchenko IV, Kayushev PE. Tumor necrosis factor α and its role in pathology of breast cancer. Medical review. 2022;6(9):523–527. (In Russ). doi: 10.32364/2587-6821-2022-6-9-523-527
Supplementary files






